| ²é¿´: 263 | »Ø¸´: 2 | |||
xiaoweichen4Òø³æ (³õÈëÎÄ̳)
|
[ÇóÖú]
¼ÆËã³ÏÇó
|
|
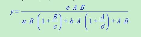
y A B 1.9472 0.1 0.4 3.1236 0.2 0.4 5.0556 0.3 0.4 6.0326 0.4 0.4 4.2972 0.5 0.4 3.3218 0.75 0.4 1.1782 0.4 0.1 3.0228 0.4 0.2 3.7660 0.4 0.3 6.0326 0.4 0.4 7.1830 0.4 0.5 4.0548 0.4 2 y = e*A*B/[a*B*(1+B/c)+b*A*(1+A/d)+A*B] Çó£ºa,b,c,d,e??? a(0.2-0.8) b(0.2-1) c(>0) d(>0) e(6-12 [ Last edited by ben_ladeng on 2013-9-4 at 20:08 ] |
» ²ÂÄãϲ»¶
É¢½ð±Ò£¬ÇóºÃÔË£¬×£ÃæÉÏ˳Àû£¡
ÒѾÓÐ81È˻ظ´
»ª¶«Ê¦·¶´óѧоƬÉè¼ÆÐìççÕæÊµË®Æ½Õ¦Ñù
ÒѾÓÐ1È˻ظ´
ÎïÀíѧIÂÛÎÄÈóÉ«/·ÒëÔõôÊÕ·Ñ?
ÒѾÓÐ285È˻ظ´
µ÷¼Á
ÒѾÓÐ0È˻ظ´
¡¾ÐÂ¼ÓÆÂ¡¿ÄÉÃ×µç×ÓÆ÷¼þÏîÄ¿×éÓС°ÁªºÏÅàÑø²©Ê¿Éú¡±Ãû¶î
ÒѾÓÐ0È˻ظ´
Öе²©Ê¿ºó2026ÏîÄ¿5ÔÂ30ÈÕ½ØÖ¹- ¹úÄÚ²©Ê¿ºóÈëÕ¾¡¢µÂ¹úÁ½Äêȫְ
ÒѾÓÐ0È˻ظ´
ÃæÏòÈ«ÇòÉêÇëÈ˵ÄÖе²©Ê¿ºó2026ÏîÄ¿5ÔÂ30ÈÕ½ØÖ¹- ¹úÄÚ²©ºóÈëÕ¾µÂ¹úÁ½Äêȫְ
ÒѾÓÐ0È˻ظ´
¡¾ÐÂ¼ÓÆÂ¡¿ÄÉÃ×µç×ÓÆ÷¼þÏîÄ¿×éÓС°ÁªºÏÅàÑø²©Ê¿Éú¡±Ãû¶î
ÒѾÓÐ2È˻ظ´
ÖØÇì½»´ó²ÄÁÏѧԺ26Äê˶ʿÕÐÉú¸´ÊÔʵʩϸÔòÒѳö¡£»¶Ó¼ÓÈë¹â×Óѧ΢½á¹¹ÓëÆ÷¼þ¿ÎÌâ×é¡£
ÒѾÓÐ0È˻ظ´
±±¹¤´óËÎÏþÑÞ½ÌÊÚÍŶÓÕÐÊÕ2026Äê9ÔÂÈëѧ²©Ê¿¡¾Ñ§²©ºÍר²©Ãû¶î¾ùÓС¿£¡
ÒѾÓÐ1È˻ظ´
Ìì½ò³Ç½¨´óѧÀíѧԺ»¯Ñ§¡¢»·¾³¹¤³Ì¡¢²ÄÁÏÎïÀíµÈ·½Ïò½ÓÊÕ10ÈË
ÒѾÓÐ0È˻ظ´

ÔÂÖ»À¶
Ö÷¹ÜÇø³¤ (Ö°Òµ×÷¼Ò)
-

ר¼Ò¾Ñé: +1059 - ¼ÆËãÇ¿Ìû: 8
- Ó¦Öú: 1712 (½²Ê¦)
- ¹ó±ö: 8.888
- ½ð±Ò: 68127.7
- É¢½ð: 1938
- ºì»¨: 443
- ɳ·¢: 4
- Ìû×Ó: 4373
- ÔÚÏß: 3291.4Сʱ
- ³æºÅ: 1122189
- ×¢²á: 2010-10-14
- רҵ: ÓîÖæÑ§
- ¹ÜϽ: ¼ÆËãÄ£ÄâÇø
¡¾´ð°¸¡¿Ó¦Öú»ØÌû
¡ï ¡ï
¸Ðл²ÎÓ룬ӦÖúÖ¸Êý +1
csgt0: ½ð±Ò+2, лл 2013-09-03 16:43:33
ben_ladeng: ר¼Ò¿¼ºË 2013-09-04 20:06:49
¸Ðл²ÎÓ룬ӦÖúÖ¸Êý +1
csgt0: ½ð±Ò+2, лл 2013-09-03 16:43:33
ben_ladeng: ר¼Ò¿¼ºË 2013-09-04 20:06:49

2Â¥2013-09-03 10:06:30
ÔÂÖ»À¶
Ö÷¹ÜÇø³¤ (Ö°Òµ×÷¼Ò)
-

ר¼Ò¾Ñé: +1059 - ¼ÆËãÇ¿Ìû: 8
- Ó¦Öú: 1712 (½²Ê¦)
- ¹ó±ö: 8.888
- ½ð±Ò: 68127.7
- É¢½ð: 1938
- ºì»¨: 443
- ɳ·¢: 4
- Ìû×Ó: 4373
- ÔÚÏß: 3291.4Сʱ
- ³æºÅ: 1122189
- ×¢²á: 2010-10-14
- רҵ: ÓîÖæÑ§
- ¹ÜϽ: ¼ÆËãÄ£ÄâÇø

3Â¥2013-09-03 10:10:14













»Ø¸´´ËÂ¥