| ²é¿´: 487 | »Ø¸´: 1 | |||
| ±¾Ìû²úÉú 1 ¸ö ÎïÀíEPI £¬µã»÷ÕâÀï½øÐв鿴 | |||
bfamqÌú¸Ëľ³æ (ÖøÃûдÊÖ)
|
[ÇóÖú]
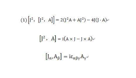
¹ØÓڽǶ¯Á¿µÄÖ¤Ã÷Ìâ
|
||
Çཷ²»À± À±½·²»Çà |
» ²ÂÄãϲ»¶
081700£¬311£¬Çóµ÷¼Á
ÒѾÓÐ18È˻ظ´
081700ѧ˶£¬323·Ö£¬Ò»Ö¾Ô¸Öйúº£Ñó´óѧÇóµ÷¼ÁѧУ
ÒѾÓÐ17È˻ظ´
085600²ÄÁÏÓ뻯¹¤301·ÖÇóµ÷¼ÁԺУ
ÒѾÓÐ21È˻ظ´
»¯¹¤Ñ§Ë¶ 285Çóµ÷¼Á
ÒѾÓÐ5È˻ظ´
0703µ÷¼Á
ÒѾÓÐ18È˻ظ´
0702ÎïÀíѧѧ˶299Çóµ÷¼Á
ÒѾÓÐ3È˻ظ´
304Çóµ÷¼Á£¨085602£¬¹ýËļ¶£¬Ò»Ö¾Ô¸985£©
ÒѾÓÐ19È˻ظ´
085600²ÄÁÏÓ뻯¹¤×¨Ë¶329 Çóµ÷¼Á
ÒѾÓÐ17È˻ظ´
Çóµ÷¼Á
ÒѾÓÐ10È˻ظ´
ÉúÎïÓëÒ½Ò©273Çóµ÷¼Á
ÒѾÓÐ10È˻ظ´
» ±¾Ö÷ÌâÏà¹Ø¼ÛÖµÌùÍÆ¼ö£¬¶ÔÄúͬÑùÓаïÖú:
Êýѧ¶þµÄÖ¤Ã÷ÌâÔõô¸´Ï°°¡£¬ÏÖÔںþÀ½á
ÒѾÓÐ7È˻ظ´
ÇóÖúÒ»µÀÏß´úÖ¤Ã÷Ìâ°¡
ÒѾÓÐ8È˻ظ´
Á½µÀÏßÐÔ´úÊýµÄÖ¤Ã÷Ìâ
ÒѾÓÐ21È˻ظ´
¹ØÓÚ°Ä´óÀûÑÇǩ֤ÔÚ¶ÁÖ¤Ã÷µÄ¸ñʽÎÊÌâ
ÒѾÓÐ4È˻ظ´
¹ØÓÚ¹¤×÷Ö¤Ã÷µÄÎÊÌâ--ִҵҩʦ¿¼ÊÔ
ÒѾÓÐ14È˻ظ´
[ÇóÖú] Ò»¸ö·ÇµäÐ͵ÄÅÅÐòÎÊÌâ
ÒѾÓÐ5È˻ظ´
¡¾ÇóÖú¡¿Óйسö¾³½¡¿µÖ¤Ã÷µÄÎÊÌâ
ÒѾÓÐ13È˻ظ´
¡¾ÇóÖú¡¿ÏßÐÔ´úÊý¹ØÓÚÌØÕ÷ÖµµÄÖ¤Ã÷Ìâ
ÒѾÓÐ7È˻ظ´
¡¾ÇóÖú¡¿ÓйرùºøÔ˶¯µÄÎïÀíÎÊÌ⣬Çë¸ßÊÖ°ïæ£¡£¡
ÒѾÓÐ7È˻ظ´

racoon01
ר¼Ò¹ËÎÊ (ÖøÃûдÊÖ)
-

ר¼Ò¾Ñé: +213 - ÎïÀíEPI: 25
- Ó¦Öú: 212 (´óѧÉú)
- ½ð±Ò: 24355.2
- É¢½ð: 27
- ºì»¨: 71
- Ìû×Ó: 2438
- ÔÚÏß: 643.2Сʱ
- ³æºÅ: 1282452
- ×¢²á: 2011-05-01
- רҵ: Öйú½ü´úÊ·¡¢ÏÖ´úÊ·
- ¹ÜϽ: ÎïÀí
¡¾´ð°¸¡¿Ó¦Öú»ØÌû
¡ï ¡ï ¡ï ¡ï ¡ï ¡ï ¡ï ¡ï ¡ï ¡ï ¡ï ¡ï ¡ï ¡ï ¡ï ¡ï ¡ï ¡ï ¡ï ¡ï ¡ï ¡ï ¡ï ¡ï ¡ï ¡ï ¡ï ¡ï ¡ï ¡ï ¡ï ¡ï ¡ï ¡ï ¡ï ¡ï ¡ï ¡ï ¡ï ¡ï ¡ï ¡ï ¡ï ¡ï ¡ï ¡ï ¡ï ¡ï ¡ï ¡ï
¸Ðл²ÎÓ룬ӦÖúÖ¸Êý +1
bfamq: ½ð±Ò+25, ¡ïÓаïÖú, ºÜ¼ò½à 2013-09-03 11:44:58
sweety: ÎïÀíEPI+1, ¹ÄÀøÓмÛÖµµÄÓ¦Öú»ØÌû 2013-09-03 17:40:26
bfamq: ½ð±Ò+25 2013-09-04 17:29:32
¸Ðл²ÎÓ룬ӦÖúÖ¸Êý +1
bfamq: ½ð±Ò+25, ¡ïÓаïÖú, ºÜ¼ò½à 2013-09-03 11:44:58
sweety: ÎïÀíEPI+1, ¹ÄÀøÓмÛÖµµÄÓ¦Öú»ØÌû 2013-09-03 17:40:26
bfamq: ½ð±Ò+25 2013-09-04 17:29:32

2Â¥2013-09-03 10:46:23














»Ø¸´´ËÂ¥