| 查看: 1302 | 回复: 18 | ||
[交流]
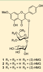
如何分辨以下三种化合物?根据极性大小可以区分吗?
|
||
» 本主题相关价值贴推荐,对您同样有帮助:
有没有一种可以可以直接判定化合物极性大小的方法?
已经有3人回复
三种化合物极性大小的判断
已经有10人回复
求教大极性化合物的分离纯化。。
已经有10人回复
如何判断是否含有金属元素化合物?
已经有4人回复
这两个化合物哪个极性大,怎么分离
已经有9人回复
水溶性大,极性也相近的物质如何分离?
已经有20人回复
极性相似化合物的分离
已经有6人回复
高极性化合物分离 酚酸类成分
已经有19人回复
化合物极性大小及分离
已经有3人回复
两个极性很小且极性相似的物质该怎么分
已经有19人回复
过柱子时两个极性很近的化合物应该怎样才能分开
已经有19人回复
这两种物质的极性哪种大?(薄层色谱图)
已经有7人回复
怎样知道一个化合物的极性
已经有8人回复
【求助】亲水C18 填料相关资料 及分离极性大化合物应注意什么?
已经有5人回复
【讨论】请问以下两个化合物极性大小
已经有4人回复
【求助】极性大的水溶性化合物如何后处理
已经有12人回复
【讨论】分离大极性化合物的问题
已经有15人回复
【求助】比较俩化合物极性大小
已经有19人回复
一个极性十分相近的化合物的分离问题
已经有16人回复
» 抢金币啦!回帖就可以得到:
物理学 调剂
+1/96
西安石油大学新能源学院接收材料类、能源动力类、机械类、计算机类等专业专硕调剂生!
+1/91
大连大学-六盘水师范学院联合培养研究生接收调剂
+2/56
青岛农业大学海洋学院招调剂硕士研究生
+1/51
安徽工业大学有调剂名额
+1/38
汕头大研究生调剂招生
+1/32
岭南师范学院生物与医药专业(生物技术与工程领域)2026年调剂公告
+1/22
北京石油化工学院天然高分子与生物材料组招收0817化学工程与技术及0856材料与化工调剂
+1/11
★上海★上海工程技术大学·环境与资源创新中心(ICER)接收化工材料环境等学科调剂生
+1/11
重庆工商大学 招收环境/材料类方向调剂研究生
+1/9
天津商业大学生物技术与食品科学学院083200;086000专业调剂招生
+1/9
广州医科大学生物医学工程生物技术与工程(086001)和制药工程(086002)接收调剂
+1/7
北京服装学院 材料设计与工程学院 纺织化学与染整工程接收硕士研究生调剂2026
+1/5
【#上海调剂急录#】能接受985联合培养的速来!带你发一区文章!
+1/5
0854,0858调剂招生
+1/5
双一流天津工业大学电信学院李鸿强教授招收2026年申请审核制博士(4月3号截止)
+1/4
山西大学招收2026级申请考核制化学材料类博士研究生一名
+1/4
调剂招生
+1/3
武汉纺织大学材料学院包海峰教授课题组招收2026年材料类调剂考生
+1/2
哈尔滨工程大学动力学院赵建辉团队招收2026博士研究生
+1/1
9楼2013-08-31 00:11:59
10楼2013-08-31 00:17:09
11楼2013-08-31 00:19:13
12楼2013-08-31 00:19:17
13楼2013-08-31 00:20:02
16楼2013-08-31 09:00:44
17楼2013-08-31 09:53:37
18楼2013-09-02 08:42:21
★
小木虫: 金币+0.5, 给个红包,谢谢回帖
小木虫: 金币+0.5, 给个红包,谢谢回帖
|
米饭研究的最新成果 (1) 我们国家的罪犯,90%以上每天都吃米饭。可见米饭是犯罪分子最喜欢的食品。 (2) 大多数的凶杀案,都是在犯罪分子吃过米饭后24小时之内进行的。可见米饭与暴力犯罪之间有着密不可分的联系。 (3) 超过95%的超速驾驶是在吃米饭之后,而不到5%的超速是在饮酒之后。所以,吃米饭比喝酒更容易引起交通事故。 (4)绝大多数的夫妻吵架是在吃过米饭后12小时内发生的,故吃米饭不利于家庭关系的和谐。 (5)几乎所有考试成绩不及格的同学早上都多多少少吃过米饭。所以,米饭可能会降低孩子的智商,严重影响孩子们的学业。 (6)几乎所有自杀者都是在食用米饭之后自杀的,因此,米饭会增加食用者的心理负担,威胁食用者的身心健康,如果不及早加以干预和控制将会酿成难以挽回的恐怖后果。 (7)癌症患者中仅有30%是烟民,而90%以上是米饭食用者,因此吃米饭对人体的危害远远超过吸烟。 (8)调查发现,无论行贿者还是受贿者在作案之前的12小时里基本上都吃过米饭,可见米饭的确会造成官员的腐败。 (9) 研究表明,经济愈落后的地方的人吃米饭越多,可见食用米饭会造成了地区性的经济发展滞后。 结论:米饭不能再吃了,应改吃洋面包。 |
19楼2013-09-02 13:39:50
简单回复
黄山松502楼
2013-08-30 15:30
回复
梦幻天堂(金币+1): 谢谢参与
2013-08-30 16:51
回复
梦幻天堂(金币+1): 谢谢参与
2013-08-30 17:35
回复
梦幻天堂(金币+1): 谢谢参与

2013-08-30 18:55
回复
梦幻天堂(金币+1): 谢谢参与
2013-08-30 22:09
回复
梦幻天堂(金币+1): 谢谢参与
支持 [ 发自手机版 http://muchong.com/3g ]
xiejf7楼
2013-08-30 23:26
回复
梦幻天堂(金币+1): 谢谢参与
2013-08-31 00:08
回复
梦幻天堂(金币+1): 谢谢参与
jinwei33114楼
2013-08-31 00:38
回复
梦幻天堂(金币+1): 谢谢参与

一品哥哥15楼
2013-08-31 07:00
回复
梦幻天堂(金币+1): 谢谢参与














回复此楼