±±¾©Ê¯ÓÍ»¯¹¤Ñ§Ôº2026ÄêÑо¿ÉúÕÐÉú½ÓÊÕµ÷¼Á¹«¸æ
²é¿´: 1070  |  »Ø¸´: 1

klw8888

Ìú³æ (³õÈëÎÄ̳)

[ÇóÖú] fluentÖÐÄÜÁ¿ËɳÚÒò×ÓÎÊÌâ

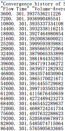
ÔÚfluentÖУ¬½«ÄÜÁ¿µÄËɳÚÒò×Óµ÷СÁË£¬ÎªºÎζÈÑÓ³Ù¸ü¼ÓÀ÷º¦ÁË£¬¼ûÏÂͼ£¬µÚÒ»ÕÅΪĬÈϵÄÄÜÁ¿ËɳÚÒò×Ó£¬Îª1£¬µÚ¶þÕÅÄÜÁ¿ËɳÚÒò×ÓΪ0.5
fluentÖÐÄÜÁ¿ËɳÚÒò×ÓÎÊÌâ
3333.PNG


fluentÖÐÄÜÁ¿ËɳÚÒò×ÓÎÊÌâ-1
2222.PNG
»Ø¸´´ËÂ¥

» ²ÂÄãϲ»¶

» ±¾Ö÷ÌâÏà¹Ø¼ÛÖµÌùÍÆ¼ö£¬¶ÔÄúͬÑùÓаïÖú:

ÒÑÔÄ   »Ø¸´´ËÂ¥   ¹Ø×¢TA ¸øTA·¢ÏûÏ¢ ËÍTAºì»¨ TAµÄ»ØÌû

klw8888

Ìú³æ (³õÈëÎÄ̳)

ûÓÐÏëÒªµÄ°¡
2Â¥2013-08-21 17:10:35
ÒÑÔÄ   »Ø¸´´ËÂ¥   ¹Ø×¢TA ¸øTA·¢ÏûÏ¢ ËÍTAºì»¨ TAµÄ»ØÌû
Ïà¹Ø°æ¿éÌø×ª ÎÒÒª¶©ÔÄÂ¥Ö÷ klw8888 µÄÖ÷Ìâ¸üÐÂ
×î¾ßÈËÆøÈÈÌûÍÆ¼ö [²é¿´È«²¿] ×÷Õß »Ø/¿´ ×îºó·¢±í
[¿¼ÑÐ] 0855Çóµ÷¼Á²ÄÁÏ +6 ºìÌÒׯׯ 2026-04-04 6/300 2026-04-04 23:35 by ¹û¶³´óÍõ
[¿¼ÑÐ] 0703µ÷¼Á +9 ʰ¾ÁÒ¼ 2026-04-04 10/500 2026-04-04 22:53 by ÀíÏëÔÚʵ¼ùÖ®ÖÐ
[¿¼ÑÐ] ¿¼Ñе÷¼Á +6 15615482637 2026-04-04 6/300 2026-04-04 22:43 by yu221
[¿¼ÑÐ] 331Çóµ÷¼Á +3 niby 2026-04-02 3/150 2026-04-04 19:56 by À¶ÔÆË¼Óê
[¿¼ÑÐ] 368Çóµ÷¼Á +5 ½ñ»ªÏ° 2026-04-03 7/350 2026-04-04 18:47 by imissbao
[¿¼ÑÐ] 332Çóµ÷¼Á +10 Lyy930824@ 2026-03-29 10/500 2026-04-04 18:41 by macy2011
[¿¼ÑÐ] Çóµ÷¼Á£¬Ò»Ö¾Ô¸Ö£ÖÝ´óѧ²ÄÁÏÓ뻯¹¤×¨Ë¶£¬Ó¢¶þÊý¶þ342·Ö£¬ÇóÀÏʦÊÕÁô +17 v12abo 2026-04-02 19/950 2026-04-04 09:16 by À´¿´Á÷ÐÇÓê10
[¿¼ÑÐ] ¿¼ÑÐÇóµ÷¼Á +3 ľÐÄÏë¼ÌÐøÉîÔì 2026-04-03 3/150 2026-04-03 21:56 by à£à£à£0119
[¿¼ÑÐ] 294Çóµ÷¼Á +6 Grey_Ey 2026-04-03 6/300 2026-04-03 20:46 by ÐÀϲ777
[¿¼ÑÐ] 303Çóµ÷¼Á +9 DLkz1314. 2026-03-30 9/450 2026-04-03 18:34 by lsÁõ˧
[¿¼ÑÐ] 0856£¬269·ÖÇóµ÷¼Á +15 ÓÐѧÉϾÍÐÐÇóÇóÁ 2026-03-30 18/900 2026-04-03 16:50 by melodiousnow
[¿¼ÑÐ] 0705Àíѧ294Çóµ÷¼Á +3 ³É¹û³É¹ûcg5 2026-04-03 3/150 2026-04-03 14:04 by simons1972
[¿¼²©] É격ÇóÖú +3 Reee1Llll 2026-04-01 3/150 2026-04-02 22:29 by ÕâÊÇÒ»¸öÎÞÁĵÄê
[¿¼ÑÐ] 283Çóµ÷¼Á +3 jiouuu 2026-04-02 4/200 2026-04-02 14:08 by ßÕßÕßÕßÉßÉßÉ
[¿¼ÑÐ] 314Çóµ÷¼Á +11 1xiaojun23 2026-03-31 12/600 2026-04-02 12:31 by 1xiaojun23
[¿¼ÑÐ] 085602»¯Ñ§¹¤³Ì268·Ö¶×µ÷¼Á +8 ÔÂÕÕ»¨ÁÖ¡£ 2026-04-01 8/400 2026-04-01 22:08 by Î޼ʵIJÝÔ­
[¿¼ÑÐ] °²È«¹¤³Ì 285 Çóµ÷¼Á +3 Xinyu56 2026-04-01 4/200 2026-04-01 21:50 by ¾²¾²¾²¾²¾²¾²¾²¾
[¿¼ÑÐ] 085600 Ò»Ö¾Ô¸9 ×Ü·Ö351 Çóµ÷¼ÁѧУ +7 czhcz 2026-03-31 9/450 2026-04-01 19:24 by Î޼ʵIJÝÔ­
[¿¼ÑÐ] 285Çóµ÷¼Á +7 AZMK 2026-03-30 13/650 2026-04-01 17:00 by Æß¶È²»ÐÅÈÎ
[¿¼ÑÐ] 0856 335·Ö +9 cccchenso 2026-03-29 9/450 2026-03-31 16:37 by lishahe
ÐÅÏ¢Ìáʾ
ÇëÌî´¦ÀíÒâ¼û