| 查看: 1208 | 回复: 15 | ||
[求助]
小女子求助离子液体共聚问题,各位大神么沉呀
|
||
|
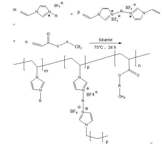
小女子最近在做有关1-乙烯基咪唑类离子液体聚合的研究,以苯作溶剂时交联剂双乙烯基咪唑离子盐和咪唑单体微溶,AIBN引发剂,用试管做反应器采用溶液聚合,但是只有试管底部有少许凝胶,换做可溶的DMF 或者 NMP均不发生凝胶,目前也尝试了交联剂0.25%,1%,2%的比例(占单体总摩尔量)均不凝胶,不知道什么原因有什么解决办法呢?忘各位大神给点建议呀! 1.jpg |
» 猜你喜欢
售SCI一区文章,我:8 O5 51O 54,科目齐全,可+急
已经有5人回复
售SCI一区文章,我:8 O5 51O 54,科目齐全,可+急
已经有6人回复
售SCI一区文章,我:8 O5 51O 54,科目齐全,可+急
已经有8人回复
售SCI一区文章,我:8 O5 51O 54,科目齐全,可+急
已经有3人回复
售SCI一区文章,我:8 O5 51O 54,科目齐全,可+急
已经有4人回复
版面费该交吗
已经有8人回复
售SCI一区文章,我:8 O5 51O 54,科目齐全,可+急
已经有5人回复
售SCI一区文章,我:8 O5 51O 54,科目齐全,可+急
已经有3人回复
基金正文30页指的是报告正文还是整个申请书
已经有6人回复
面上可以超过30页吧?
已经有4人回复
» 本主题相关价值贴推荐,对您同样有帮助:
各位虫友:关于乳液共聚的简单问题。帮忙解释一下吧!急,急,急!!!
已经有12人回复
wlctcl
木虫 (著名写手)
- PEPI: 1
- 应助: 104 (高中生)
- 金币: 1207.7
- 散金: 458
- 红花: 35
- 帖子: 2646
- 在线: 511.4小时
- 虫号: 1783247
- 注册: 2012-04-27
- 性别: GG
- 专业: 有机高分子功能材料

10楼2013-08-09 21:55:17
2楼2013-08-09 12:44:19
3楼2013-08-09 13:08:30
4楼2013-08-09 13:09:58
5楼2013-08-09 13:37:37

6楼2013-08-09 13:49:01
7楼2013-08-09 14:12:54
aaronyang
金虫 (小有名气)
- 应助: 26 (小学生)
- 金币: 1020.8
- 红花: 1
- 帖子: 85
- 在线: 34.5小时
- 虫号: 237600
- 注册: 2006-04-04
- 专业: 应用高分子化学与物理
8楼2013-08-09 16:54:53
9楼2013-08-09 20:25:39













回复此楼