| 查看: 1235 | 回复: 9 | ||
lxc_422新虫 (小有名气)
|
[求助]
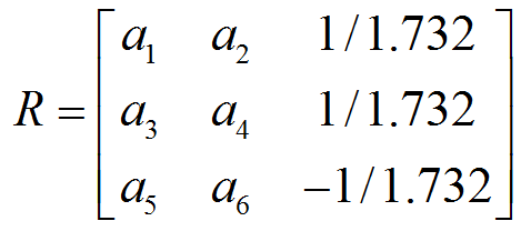
求3x3矩阵R
|
|
![]() |
||
|
|
||
aaron1988木虫 (正式写手)
|
||
|
2楼2013-08-09 08:08:21
|
|
|
|
3楼2013-08-09 08:15:16
|
|
|
lxc_422新虫 (小有名气)
|
||
![]() |
||
|
4楼2013-08-09 08:18:05
|
|
|
|
5楼2013-08-09 10:01:20
|
|
|
|
★ ★ ★ ★ ★
感谢参与,应助指数 +1 lxc_422: 金币+5, ★★★很有帮助, 想知道,你是怎么求的?能给本参考书不?多谢! 2013-08-09 20:36:46
|
||
|
6楼2013-08-09 10:53:45
|
|
|
|
7楼2013-08-09 14:17:18
|
|
|
lxc_422新虫 (小有名气)
|
||
![]() |
||
|
8楼2013-08-09 20:39:35
|
|
|
|
||
|
9楼2013-08-10 10:15:20
|
|
|
|
10楼2013-08-11 17:28:19
|
|













回复此楼
20