| ²é¿´: 1014 | »Ø¸´: 5 | ||
raninxuskyľ³æ (СÓÐÃûÆø)
|
[ÇóÖú]
UDSÔ´ÏîµÄÐÎʽÎÊÌ⣿ÄÜ·ñ²ÉÓÃUDS
|
|
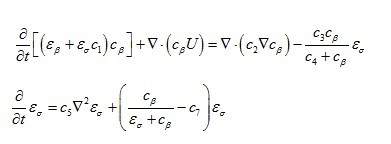
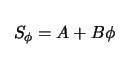
ÈçÌ⣺ ÏÂͼÊÇÒªÇó½âµÄUDS·½³Ì£º ÐèÒª¼ÆËã·½³Ì.jpg ÏÂͼÊÇHELPÖйØÓÚÔ´ÏîµÄÃèÊöÊÇ£º helpÖжÔÔ´ÏîµÄÃèÊö.jpg Çë½Ì´ó¼Ò£¬ÄÜÓÃÔ´ÏîÀ´ÃèÊö¸ÃUDS·½³ÌÂ𣿠[ Last edited by raninxusky on 2013-8-1 at 17:09 ] |
» ²ÂÄãϲ»¶
Çóµ÷¼Á
ÒѾÓÐ4È˻ظ´
070300»¯Ñ§Çóµ÷¼Á
ÒѾÓÐ11È˻ظ´
±§Ç¸
ÒѾÓÐ5È˻ظ´
»·¾³285·Ö£¬¹ýÁù¼¶£¬Çóµ÷¼Á
ÒѾÓÐ9È˻ظ´
Çó²ÄÁϵ÷¼Á£¬Ò»Ö¾Ô¸Ö£ÖÝ´óѧ289·Ö
ÒѾÓÐ11È˻ظ´
»¯Ñ§µ÷¼Á
ÒѾÓÐ9È˻ظ´
303Çóµ÷¼Á
ÒѾÓÐ4È˻ظ´
»¯¹¤µ÷¼Á303·Ö£¬¹ýËļ¶
ÒѾÓÐ25È˻ظ´
081200-11408-276ѧ˶Çóµ÷¼Á
ÒѾÓÐ6È˻ظ´
298·Ö 070300Çóµ÷¼Á
ÒѾÓÐ11È˻ظ´
» ±¾Ö÷ÌâÏà¹Ø¼ÛÖµÌùÍÆ¼ö£¬¶ÔÄúͬÑùÓаïÖú:
COMSOLÀïÓÐVOFÄ£¿éÂð£¿Ð»Ð»£¡
ÒѾÓÐ12È˻ظ´
¿É²»¿ÉÒÔͨ¹ýUDSÇó½â³öʱ¼ä£¬Ò²¾ÍÊÇreal_flow_time
ÒѾÓÐ4È˻ظ´
¶à¿×½éÖÊudf£¬uds±àдÎÊÌâ
ÒѾÓÐ33È˻ظ´
uds·½³ÌÖжþ½×µ¼Êý±ß½çÌõ¼þ£¬±à³ÌÈçÏ£¬ÔËÐÐʱ×ÜÊdzö´í£¬ÇóÖ¸µ¼£¬Ð»Ð»
ÒѾÓÐ6È˻ظ´
uds·½³ÌÖÐÈçºÎ¶¨Òå±¥ºÍŨ¶È
ÒѾÓÐ4È˻ظ´
UDS±ß½çÌõ¼þ£¬ÇóÖªµÀµÄ˵һÏ£¬À§»óÎÒ£ÎÌìÁË...
ÒѾÓÐ5È˻ظ´
fluentÇó½âUDS¹ý³ÌÖУ¬³öÏÖÉÙÊý²»ºÏÀíµÄÖµ..
ÒѾÓÐ14È˻ظ´
¶ÔÓÚudsµÄ¶ÔÁ÷ÏîÉèÖÃÎÊÌâ~
ÒѾÓÐ4È˻ظ´
udsºÍfluent×Ô´øµÄÄ£ÐÍÓÐÁªÏµÂð£¿
ÒѾÓÐ3È˻ظ´
fluent-udf×Ô¶¨Òå±êÁ¿·½³Ì±ß½çÌõ¼þ
ÒѾÓÐ5È˻ظ´
UDFÖÐDEFINE_ADJUSTºêÖÐʹÓÃC_UDSI_G
ÒѾÓÐ36È˻ظ´
fluentÀï¶ÔÓÚÖá±ß½çÊÇÔõÑù´¦ÀíµÄ£¿¶ÔÓÚuds½â·½³ÌÔõÑùÌåÏÖÄ£ÐÍÊǶþάÖá¶Ô³ÆÄ£ÐÍÄØ£¿
ÒѾÓÐ10È˻ظ´
ÄÜÁ¿Ô´ÏîÖÐÓÐζȶÔʱ¼äµÄ΢·Ö£¬ÐèÒªÓÃudsÂð£¿
ÒѾÓÐ16È˻ظ´
¶ÔÓÚuds±ß½çÌõ¼þ
ÒѾÓÐ11È˻ظ´
ÓÐûÓÐʲô°ì·¨ÄÜ¿ØÖÆudsÇó½âµÄ±êÁ¿ÔÚÕû¸öÇó½âÓòÉϵķ¶Î§°¡
ÒѾÓÐ6È˻ظ´
fluentÄÜÁ¿Ô´ÏîÖÐζÈT¶Ôʱ¼äµÄtµÄÆ«µ¼Êý£¬¼´dT/dtÈçºÎÓÃudf±àдÄÜÁ¿Ô´Ïî
ÒѾÓÐ6È˻ظ´
udf±à³Ìͨ¹ý£¬µ«ÊÇÔÚFLUENTÖÐÔËÐгö´í£¬Âé·³udf¸ßÊÖ°ïæ¿´¿´
ÒѾÓÐ4È˻ظ´
udf ÖØÁ¦·½Ïò±ä»¯
ÒѾÓÐ17È˻ظ´
hunterfy
½ð³æ (СÓÐÃûÆø)
- Ó¦Öú: 21 (СѧÉú)
- ½ð±Ò: 781.8
- É¢½ð: 13
- ºì»¨: 2
- Ìû×Ó: 129
- ÔÚÏß: 96.5Сʱ
- ³æºÅ: 1557824
- ×¢²á: 2011-12-31
- ÐÔ±ð: GG
- רҵ: ȼÉÕѧ
2Â¥2013-08-01 18:20:23
raninxusky
ľ³æ (СÓÐÃûÆø)
- Ó¦Öú: 1 (Ó×¶ùÔ°)
- ½ð±Ò: 2085.6
- É¢½ð: 2287
- Ìû×Ó: 256
- ÔÚÏß: 180.8Сʱ
- ³æºÅ: 2373001
- ×¢²á: 2013-03-24
- ÐÔ±ð: GG
- רҵ: Á÷ÌåÁ¦Ñ§
3Â¥2013-08-01 20:38:45
hunterfy
½ð³æ (СÓÐÃûÆø)
- Ó¦Öú: 21 (СѧÉú)
- ½ð±Ò: 781.8
- É¢½ð: 13
- ºì»¨: 2
- Ìû×Ó: 129
- ÔÚÏß: 96.5Сʱ
- ³æºÅ: 1557824
- ×¢²á: 2011-12-31
- ÐÔ±ð: GG
- רҵ: ȼÉÕѧ
¡¾´ð°¸¡¿Ó¦Öú»ØÌû
¡ï ¡ï ¡ï ¡ï ¡ï
raninxusky: ½ð±Ò+3, ¡ï¡ï¡ïºÜÓаïÖú, àÅ£¬ÊÇ·ÇÎÈ̬Ïî+¶ÔÁ÷Ïî+À©É¢Ïî+Ô´Ïî×é³ÉµÄ¡£µ«ÊǶÔÔ´ÏîµÄÐÎʽûÓÐÒªÇóô£¿ 2013-08-02 12:03:24
xiegangmai: ½ð±Ò+2, лл²ÎÓ룡 2013-08-03 20:44:54
raninxusky: ½ð±Ò+3, ¡ï¡ï¡ïºÜÓаïÖú, àÅ£¬ÊÇ·ÇÎÈ̬Ïî+¶ÔÁ÷Ïî+À©É¢Ïî+Ô´Ïî×é³ÉµÄ¡£µ«ÊǶÔÔ´ÏîµÄÐÎʽûÓÐÒªÇóô£¿ 2013-08-02 12:03:24
xiegangmai: ½ð±Ò+2, лл²ÎÓ룡 2013-08-03 20:44:54
| ÀûÓÃudf±àдʱ£¬Ö±½Ó±àд¾ÍÐÐÁË£¬udsͨÓñí´ïʽ£¬ÓÉËÄÏî¹¹³É£¬Ö»ÊÇ×éºÏÆðÀ´¾ÍÐÐÁË |
4Â¥2013-08-02 11:15:18
hunterfy
½ð³æ (СÓÐÃûÆø)
- Ó¦Öú: 21 (СѧÉú)
- ½ð±Ò: 781.8
- É¢½ð: 13
- ºì»¨: 2
- Ìû×Ó: 129
- ÔÚÏß: 96.5Сʱ
- ³æºÅ: 1557824
- ×¢²á: 2011-12-31
- ÐÔ±ð: GG
- רҵ: ȼÉÕѧ
5Â¥2013-08-02 12:06:33
raninxusky
ľ³æ (СÓÐÃûÆø)
- Ó¦Öú: 1 (Ó×¶ùÔ°)
- ½ð±Ò: 2085.6
- É¢½ð: 2287
- Ìû×Ó: 256
- ÔÚÏß: 180.8Сʱ
- ³æºÅ: 2373001
- ×¢²á: 2013-03-24
- ÐÔ±ð: GG
- רҵ: Á÷ÌåÁ¦Ñ§
6Â¥2013-08-02 21:46:48














»Ø¸´´ËÂ¥
