| 查看: 581 | 回复: 5 | |
[求助]
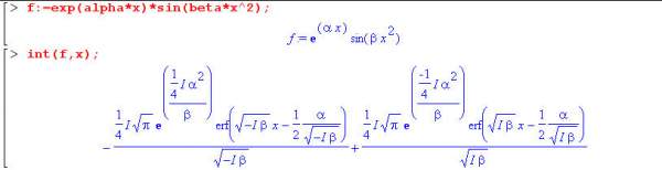
求一个积分
|
|
![]() |
|
|
|
|
pippi6铁杆木虫 (著名写手)
工程和科学数值计算咨询
|
|
|
2楼2013-07-24 05:34:08
|
|
phykid木虫 (正式写手)
|
|
|
3楼2013-07-24 09:16:00
|
|
![]() |
|
|
4楼2013-07-24 15:20:11
|
|
![]() |
|
|
5楼2013-07-24 15:22:36
|
|
pippi6铁杆木虫 (著名写手)
工程和科学数值计算咨询
|
|
|
6楼2013-07-24 15:52:53
|
|













回复此楼
bluerainq
20