±±¾©Ê¯ÓÍ»¯¹¤Ñ§Ôº2026ÄêÑо¿ÉúÕÐÉú½ÓÊÕµ÷¼Á¹«¸æ
²é¿´: 499  |  »Ø¸´: 0

titant

½ð³æ (ÕýʽдÊÖ)

[ÇóÖú] ÇóÖúµçÈݼÆË㹫ʽ

¼ÆËã¹ÌÌåÑõ»¯ÎïȼÁÏµç³ØÒõ¼«µÄµçÈÝʱ£¬²ÉÓÃf = 1/2¦ÐRC¡£
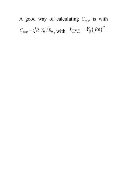
Éó¸åÈË˵¡°A good way of calculating Capp is with  , with  ¡±²»ÖªµÀ¸ÃÔõÑù¼ÆË㣬ÕâÁ½¸ö¼ÆËãµçÈݵĹ«Ê½ÓÐÊ²Ã´Çø±ð£¬»¹ÓоÍÊÇÏÂÃæµÄ×ÖÄ»¸÷´ú±íʲÎïÀíÒâÒå¡£
ÇóÖúµçÈݼÆË㹫ʽ
A good way of calculating Capp is with.jpg

[ Last edited by titant on 2013-7-18 at 16:33 ]
»Ø¸´´ËÂ¥
ÒÑÔÄ   »Ø¸´´ËÂ¥   ¹Ø×¢TA ¸øTA·¢ÏûÏ¢ ËÍTAºì»¨ TAµÄ»ØÌû

ÖÇÄÜ»úÆ÷ÈË

Robot (super robot)

ÎÒÃǶ¼°®Ð¡Ä¾³æ

ÕÒµ½Ò»Ð©Ïà¹ØµÄ¾«»ªÌû×Ó£¬Ï£ÍûÓÐÓÃŶ~

¿ÆÑдÓСľ³æ¿ªÊ¼£¬ÈËÈËΪÎÒ£¬ÎÒΪÈËÈË
Ïà¹Ø°æ¿éÌø×ª ÎÒÒª¶©ÔÄÂ¥Ö÷ titant µÄÖ÷Ìâ¸üÐÂ
×î¾ßÈËÆøÈÈÌûÍÆ¼ö [²é¿´È«²¿] ×÷Õß »Ø/¿´ ×îºó·¢±í
[¿¼ÑÐ] 287Çóµ÷¼Á +10 land xuxu 2026-03-26 10/500 2026-03-27 15:33 by ÅÁ¶ûÂíÀ­ÌØ
[¿¼ÑÐ] 317Çóµ÷¼Á +5 Ê®ÏÐwx 2026-03-24 5/250 2026-03-27 13:48 by ÑîÑîÑî×Ï
[¿¼ÑÐ] 085601 ²ÄÁϹ¤³Ì 313·Ö Çóµ÷¼Á +5 Ong3 2026-03-27 5/250 2026-03-27 12:24 by goldfish51
[¿¼ÑÐ] 0703»¯Ñ§Ò»Ö¾Ô¸ÄϾ©Ê¦·¶´óѧ303Çóµ÷¼Á +3 zzffylgg 2026-03-24 3/150 2026-03-27 10:42 by shangxh
[¿¼ÑÐ] 304Çóµ÷¼Á +3 ÂüÊâ2266 2026-03-27 3/150 2026-03-27 10:17 by guoweigw
[¿¼ÑÐ] Ò»Ö¾Ô¸ÉÂʦ´óÉúÎïѧ071000£¬298·Ö£¬Çóµ÷¼Á +5 SYA£¡ 2026-03-23 5/250 2026-03-27 09:29 by ²»³Ôô~µÄ؈
[¿¼ÑÐ] ²ÄÁÏѧ˶£¬Çóµ÷¼Á 6+5 ÌǺù«888ll 2026-03-22 10/500 2026-03-27 08:18 by hypershenger
[¿¼ÑÐ] 324Çóµ÷¼Á +8 hanamiko 2026-03-26 10/500 2026-03-27 08:06 by hypershenger
[¿¼ÑÐ] 327Çóµ÷¼Á +7 prayer13 2026-03-23 7/350 2026-03-26 20:48 by ²»³Ôô~µÄ؈
[¿¼ÑÐ] 286Çóµ÷¼Á +13 Faune 2026-03-21 13/650 2026-03-26 19:52 by peike
[¿¼ÑÐ] 297Çóµ÷¼Á +6 ÌïºéÓÐ 2026-03-26 6/300 2026-03-26 15:55 by ²»³Ôô~µÄ؈
[¿¼ÑÐ] ²ÄÁÏ277Çóµ÷¼Á +5 min3 2026-03-24 5/250 2026-03-26 15:13 by zzll406
[¿¼ÑÐ] 303Çóµ÷¼Á +6 À¶É½Ô 2026-03-25 6/300 2026-03-25 22:47 by 418490947
[¿¼ÑÐ] ¿¼Ñе÷¼Á +6 À´ºÃÔËÀ´À´À´ 2026-03-21 7/350 2026-03-25 22:43 by 418490947
[¿¼ÑÐ] ²ÄÁÏÓ뻯¹¤328·Öµ÷¼Á +6 ¡££¬¡££¬¡££¬¡£i 2026-03-23 6/300 2026-03-25 22:30 by 418490947
[¿¼ÑÐ] ²ÄÁÏÓ뻯¹¤304ÇóBÇøµ÷¼Á +3 Çñgl 2026-03-25 3/150 2026-03-25 19:03 by Ainin_
[¿¼ÑÐ] 284Çóµ÷¼Á +15 Zhao anqi 2026-03-22 15/750 2026-03-25 12:51 by wht0531
[¿¼ÑÐ] BÇø¿¼Ñе÷¼Á +4 yqdszhdap£­ 2026-03-22 5/250 2026-03-25 08:51 by baoball
[¿¼ÑÐ] 292Çóµ÷¼Á +4 ¶ì¶ì¶ì¶î¶î¶î¶î¶ 2026-03-24 4/200 2026-03-24 16:41 by peike
[¿¼ÑÐ] 384Çóµ÷¼Á +3 ×Óϵ²© 2026-03-22 6/300 2026-03-23 21:45 by ×Óϵ²©
ÐÅÏ¢Ìáʾ
ÇëÌî´¦ÀíÒâ¼û