±±¾©Ê¯ÓÍ»¯¹¤Ñ§Ôº2026ÄêÑо¿ÉúÕÐÉú½ÓÊÕµ÷¼Á¹«¸æ
²é¿´: 1245  |  »Ø¸´: 7

ÖñÁÖ·çcyl

½ð³æ (СÓÐÃûÆø)

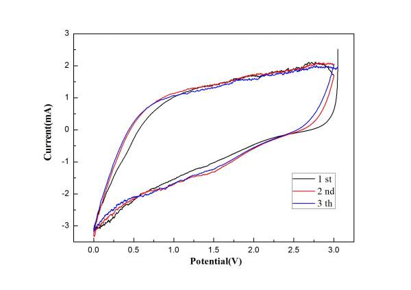
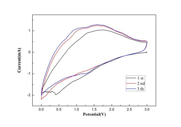
[ÇóÖú] ÕâÈý¸öCVÇúÏßÔõô·ÖÎö£¿´óÏÀÃǰï°ï棬¼±£¡£¡£¡

´óÏÀÃÇ¿ìÀ´°ï°ïæѽ¡£ÏÂÃæÕâÈý¸öCVÇúÏßÔõô·ÖÎö°¡£¬¶¼Ã»ÓÐÑõ»¯»¹Ô­·åµÄ£¬±¾ÈËÐÂÊÖ£¬Õâ·½Ãæ´¿´â²ËÄñ£¬ºÃÐÄÈ˰ï¸öæ°É£¡£¡Ð¡ÃÃÍò·Ö¸Ðл°¡£¡£¡
ÕâÈý¸öCVÇúÏßÔõô·ÖÎö£¿´óÏÀÃǰï°ï棬¼±£¡£¡£¡
C-V-2.jpg


ÕâÈý¸öCVÇúÏßÔõô·ÖÎö£¿´óÏÀÃǰï°ï棬¼±£¡£¡£¡-1
C-V-3.jpg


ÕâÈý¸öCVÇúÏßÔõô·ÖÎö£¿´óÏÀÃǰï°ï棬¼±£¡£¡£¡-2
C-V-4.jpg
»Ø¸´´ËÂ¥

» ²ÂÄãϲ»¶

» ±¾Ö÷ÌâÏà¹Ø¼ÛÖµÌùÍÆ¼ö£¬¶ÔÄúͬÑùÓаïÖú:

Justbemyself
ÒÑÔÄ   »Ø¸´´ËÂ¥   ¹Ø×¢TA ¸øTA·¢ÏûÏ¢ ËÍTAºì»¨ TAµÄ»ØÌû

williamke

½ð³æ (СÓÐÃûÆø)

¡¾´ð°¸¡¿Ó¦Öú»ØÌû

¸Ðл²ÎÓ룬ӦÖúÖ¸Êý +1
Çë˵Ã÷Èýµç¼«Ìåϵ£¬Ñо¿µÄÊÇʲô£¿ÄãÕâÊÇÍùÑõ»¯·½ÏòɨÃ裬¶øÇÒ»¹Ñ­»·ÁË3´Î£¬Óе㲻ÕýÈ·¡£
2Â¥2013-07-12 20:31:13
ÒÑÔÄ   »Ø¸´´ËÂ¥   ¹Ø×¢TA ¸øTA·¢ÏûÏ¢ ËÍTAºì»¨ TAµÄ»ØÌû

gxytju2008

ר¼Ò¹ËÎÊ (ÎÄ̳¾«Ó¢)

¡¾´ð°¸¡¿Ó¦Öú»ØÌû

¸Ðл²ÎÓ룬ӦÖúÖ¸Êý +1
ɶ·å»ù±¾¶¼¿´²»µ½°¡¡£¡£ÌåϵҲ²»ÖªµÀ£¬ÕâÕ¦·ÖÎö¡£¡£¡£É¨ËÙ¿ÉÄÜÒª¼Ó´ó£¬·¶Î§¿ÉÄÜÒ²²»¶Ô¡£¡£Ö»ÄÜÕâô˵ÁË£¬Õâͼû·´Ó¦³öÀ´É¶ÐÅÏ¢àÅ
3Â¥2013-07-12 22:26:36
ÒÑÔÄ   »Ø¸´´ËÂ¥   ¹Ø×¢TA ¸øTA·¢ÏûÏ¢ ËÍTAºì»¨ TAµÄ»ØÌû

ÖñÁÖ·çcyl

½ð³æ (СÓÐÃûÆø)

ÒýÓûØÌû:
2Â¥: Originally posted by williamke at 2013-07-12 20:31:13
Çë˵Ã÷Èýµç¼«Ìåϵ£¬Ñо¿µÄÊÇʲô£¿ÄãÕâÊÇÍùÑõ»¯·½ÏòɨÃ裬¶øÇÒ»¹Ñ­»·ÁË3´Î£¬Óе㲻ÕýÈ·¡£

ÊÇ×é×°³Éï®Àë×Óµç³ØµÄ£¬Õý¼«ï®Æ¬£¬¸º¼«¶þÁò»¯îâ¼ÓÒÒȲºÚ£¬µç½âÒºÁù·úÁ×Ëáﮣ¬Ñ­»·ÁËÈý´Î¡£Ö÷Òª¿´µÄÊǸº¼«
Justbemyself
4Â¥2013-07-13 16:52:16
ÒÑÔÄ   »Ø¸´´ËÂ¥   ¹Ø×¢TA ¸øTA·¢ÏûÏ¢ ËÍTAºì»¨ TAµÄ»ØÌû

ÖñÁÖ·çcyl

½ð³æ (СÓÐÃûÆø)

ÒýÓûØÌû:
3Â¥: Originally posted by gxytju2008 at 2013-07-12 22:26:36
ɶ·å»ù±¾¶¼¿´²»µ½°¡¡£¡£ÌåϵҲ²»ÖªµÀ£¬ÕâÕ¦·ÖÎö¡£¡£¡£É¨ËÙ¿ÉÄÜÒª¼Ó´ó£¬·¶Î§¿ÉÄÜÒ²²»¶Ô¡£¡£Ö»ÄÜÕâô˵ÁË£¬Õâͼû·´Ó¦³öÀ´É¶ÐÅÏ¢àÅ

ÊÇ×é×°³Éï®Àë×Óµç³ØµÄ£¬Õý¼«ï®Æ¬£¬¸º¼«¶þÁò»¯îâ¼ÓÒÒȲºÚ£¬µç½âÒºÁù·úÁ×Ëáﮣ¬Ñ­»·ÁËÈý´Î¡£Ö÷Òª¿´µÄÊǸº¼«¡£²ÎÊýÉ趨¶¼ÊǸù¾Ý²Î¿¼ÎÄÏ×À´µÄ¡£
Justbemyself
5Â¥2013-07-13 16:53:12
ÒÑÔÄ   »Ø¸´´ËÂ¥   ¹Ø×¢TA ¸øTA·¢ÏûÏ¢ ËÍTAºì»¨ TAµÄ»ØÌû

cainiaonum1

ľ³æ (ÖøÃûдÊÖ)

¡¾´ð°¸¡¿Ó¦Öú»ØÌû

ÎÒµÄCVÓÐÒ»¸ö¸úµÚËÄÕÅͼºÜÏñ£¬
ÿ¸öÈ˶¼ÊÇ×Ô¼ºµÄµÚÒ»
6Â¥2013-09-18 11:59:27
ÒÑÔÄ   »Ø¸´´ËÂ¥   ¹Ø×¢TA ¸øTA·¢ÏûÏ¢ ËÍTAºì»¨ TAµÄ»ØÌû

cainiaonum1

ľ³æ (ÖøÃûдÊÖ)

Ç°ÃæÄܹ»´ïµ½ÉèÖõĵçѹÏÂÏÞ£¬¸ÕɨÁ½È¦¾Í²»ÐÐÀ²£¬ÓôÃÆºÓ
ÿ¸öÈ˶¼ÊÇ×Ô¼ºµÄµÚÒ»
7Â¥2013-09-18 12:00:39
ÒÑÔÄ   »Ø¸´´ËÂ¥   ¹Ø×¢TA ¸øTA·¢ÏûÏ¢ ËÍTAºì»¨ TAµÄ»ØÌû

ÖñÁÖ·çcyl

½ð³æ (СÓÐÃûÆø)

ÒýÓûØÌû:
6Â¥: Originally posted by cainiaonum1 at 2013-09-18 11:59:27
ÎÒµÄCVÓÐÒ»¸ö¸úµÚËÄÕÅͼºÜÏñ£¬

ÄÇ£¿
Justbemyself
8Â¥2013-09-19 11:35:05
ÒÑÔÄ   »Ø¸´´ËÂ¥   ¹Ø×¢TA ¸øTA·¢ÏûÏ¢ ËÍTAºì»¨ TAµÄ»ØÌû
Ïà¹Ø°æ¿éÌø×ª ÎÒÒª¶©ÔÄÂ¥Ö÷ ÖñÁÖ·çcyl µÄÖ÷Ìâ¸üÐÂ
×î¾ßÈËÆøÈÈÌûÍÆ¼ö [²é¿´È«²¿] ×÷Õß »Ø/¿´ ×îºó·¢±í
[¿¼ÑÐ] Ò»Ö¾Ô¸9³õÊÔ366 ±¾Ë«·ÇÇóµ÷¼Á +3 ÔËÆøÀ´µÃÈôÓÐËÆÎ 2026-04-02 3/150 2026-04-02 09:19 by ÄºÔÆÇ庮
[¿¼ÑÐ] ²ÄÁϵ÷¼Á +12 Ò»ÑùYWY 2026-04-01 12/600 2026-04-02 09:15 by olim
[¿¼ÑÐ] 310Çóµ÷¼Á +11 ÕùÈ¡¾Åµã˯ 2026-03-30 11/550 2026-04-02 09:09 by sanrepian
[¿¼ÑÐ] 309Çóµ÷¼Á +5 ´ô¹½²»ÊÇ´÷·ò 2026-04-02 5/250 2026-04-02 08:55 by Jaylen.
[¿¼ÑÐ] 265Çóµ÷¼Á +3 ÁºÁºÐ£Ð£ 2026-04-01 3/150 2026-04-01 22:36 by barlinike
[¿¼ÑÐ] 348Çóµ÷¼Á +5 СÀÁ³æ²»ÀÁÁË 2026-03-27 6/300 2026-04-01 16:13 by yanflower7133
[¿¼ÑÐ] 309Çóµ÷¼Á +19 Ë­²»ÊÇÉÙÄê 2026-03-29 19/950 2026-04-01 15:47 by jp9609
[ÂÛÎÄͶ¸å] chinese chemical lettersÓ¢ÎİæÍ¶¸åÇóÖú 120+4 Yishengeryi 2026-03-30 5/250 2026-04-01 14:11 by ½С¹û»­´ó±ý
[¿¼ÑÐ] 085600£¬321·ÖÇóµ÷¼Á +13 ´ó²öС×Ó 2026-03-31 13/650 2026-04-01 12:35 by chemdavid
[¿¼ÑÐ] Ò»Ö¾Ô¸ÎäÀí²ÄÁϹ¤³Ì302µ÷¼Á»·»¯»ò»¯¹¤ +15 Doleres 2026-03-31 16/800 2026-04-01 09:49 by lfj11
[¿¼ÑÐ] Ò»Ö¾Ô¸ ÄϾ©º½¿Õº½Ìì´óѧ £¬080500²ÄÁÏ¿ÆÑ§Ó빤³Ìѧ˶ +10 @taotao 2026-03-31 11/550 2026-04-01 09:43 by xiayizhi
[¿¼ÑÐ] µ÷¼ÁÉêÇë +8 ÕÅÕÅÕÅÕÅzy 2026-03-31 9/450 2026-04-01 08:29 by zjbkx
[¿¼ÑÐ] Ò»Ö¾Ô¸»ª¶«Ê¦·¶´óѧÓлú»¯Ñ§×¨Òµ£¬³õÊÔ351·Ö£¬¸´ÊÔ±»Ë¢Çóµ÷¼Á! +9 ÕæÃûÓбù 2026-03-29 10/500 2026-03-31 18:01 by xhai2011
[¿¼ÑÐ] 340Çóµ÷¼Á +4 Ï£ÍûÈç´Ëi 2026-03-31 4/200 2026-03-31 16:40 by 690616278
[¿¼ÑÐ] 354Çóµ÷¼Á +3 lxb598 2026-03-31 4/200 2026-03-31 13:42 by sophie2180
[¿¼ÑÐ] Çóµ÷¼Á +10 ÕÅzz111 2026-03-27 11/550 2026-03-30 09:17 by Î޼ʵIJÝÔ­
[¿¼ÑÐ] Ò»Ö¾Ô¸±±¾©¹¤Òµ´óѧ£¬324·ÖÇóµ÷¼Á +6 Áã°Ë# 2026-03-28 6/300 2026-03-29 21:20 by nanaliuyun
[¿¼ÑÐ] 394Çóµ÷¼Á +3 ºÃʶàÄ¥¾²ºò¼ÑÒ 2026-03-26 5/250 2026-03-28 14:24 by ÌÆãå¶ù
[¿¼ÑÐ] ²ÄÁÏÓ뻯¹¤£¨0856£©304ÇóBÇøµ÷¼Á +8 Çñgl 2026-03-27 8/400 2026-03-28 12:42 by ÌÆãå¶ù
[¿¼ÑÐ] 0856µ÷¼Á +5 ÇóÇóÈÃÎÒÓÐÊé¶Á° 2026-03-26 6/300 2026-03-27 15:12 by caszguilin
ÐÅÏ¢Ìáʾ
ÇëÌî´¦ÀíÒâ¼û