| 查看: 491 | 回复: 2 | ||
hxxiii铁杆木虫 (知名作家)
|
[求助]
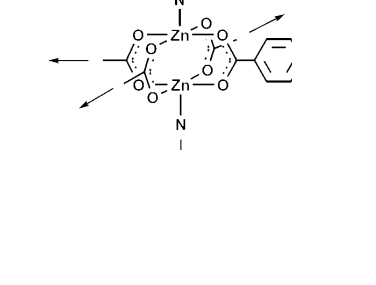
有没有人知道paddle wheel结构的Zn和Co盐
|
|
|
|
||
wuweipingqq金虫 (著名写手)
|
【答案】应助回帖
★ ★ ★ ★ ★
感谢参与,应助指数 +1 hxxiii: 金币+5, ★有帮助, 我想找的是其无机无机盐有这种结构,不过还是谢谢! 2013-07-03 07:49:08
» 本帖附件资源列表
2013-07-02 21:26:15, 14.46 K
2013-07-02 21:26:27, 13.69 K
2013-07-02 21:26:38, 7.38 K
2013-07-02 21:26:54, 14.94 K
2013-07-02 21:27:12, 17.56 K
|
|
|
2楼2013-07-02 21:27:55
|
|
|
wuweipingqq金虫 (著名写手)
|
【答案】应助回帖
★ ★ ★ ★ ★
hxxiii: 金币+5, ★有帮助, 这是Zn和Co组成MOF,但是我想知道是,例如醋酸锌晶体本身就是这个结构,有没有其它Zn和Co无机盐是这种结构? 2013-07-03 15:30:58
|
|
|
3楼2013-07-03 11:35:14
|
|











回复此楼
你看看行不行,