| 查看: 4301 | 回复: 14 | ||
星夜杨凡金虫 (小有名气)
|
[求助]
循环伏安法峰值怎么确定
|
|
|
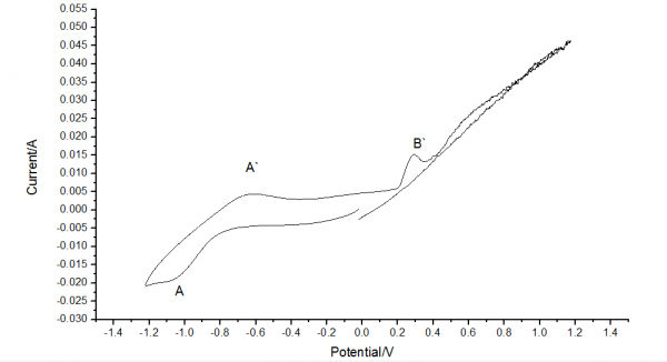
对于图中循环伏安曲线,我A为还原峰A·、B·是氧化峰,这个应该是这样的吧?? 还有就是每个峰的电流大小是以什么地方做基准线呀??不知道如何确定峰值电流的大小的 1.PNG图2里面B·的峰值电流是用CHI自动标注出大小的,A/A·峰值电流的基准线在什么地方 2.PNG [ Last edited by 星夜杨凡 on 2013-7-1 at 22:22 ] |
» 猜你喜欢
海南师范大学2026年博士研究生招收 (在职想提升学历人员可报考) 申请考核制
已经有0人回复
锂离子电池循环寿命衰减过快,求机理分析与改进思路
已经有2人回复
物理化学论文润色/翻译怎么收费?
已经有87人回复
求博导收留
已经有5人回复
CSC & MSCA 博洛尼亚大学能源材料课题组博士/博士后招生|MSCA经费充足、排名优
已经有6人回复
德国Karlsruhe Institute of Technology招收电化学储能及联合培养CSC博士等
已经有20人回复
德国Karlsruhe Institute of Technology招收电化学储能及联合培养CSC博士
已经有19人回复
德国Karlsruhe Institute of Technology招收电化学储能及联合培养CSC博士
已经有1人回复
固态锂金属电池迁移数计算求助
已经有1人回复
荷兰奈梅亨大学赵文博与Galimberti课题组招收理论计算CSC博士 2000 欧元/月+房补
已经有0人回复
» 本主题相关价值贴推荐,对您同样有帮助:
关于循环伏安法的问题
已经有8人回复
利用循环伏安法,不同扫速有什么影响
已经有8人回复
求用玻碳电极测亚硝酸盐的方法
已经有16人回复
循环伏安图问题
已经有10人回复
循环伏安法,峰电势差的值是怎么算出来的
已经有8人回复
怎么测某种物质的氧化还原电位?
已经有10人回复
求助:氧还原反应与循环伏安法
已经有15人回复
如何用循环伏安法确定两个物质之间有作用
已经有4人回复
刚进电化学的小弟对循环伏安法的困惑
已经有59人回复
用葡萄糖氧化酶做循环伏安法时候出不来峰值
已经有38人回复
【求助】电化学工作站能做吸附?
已经有16人回复
【求助】双倒数法求米氏常数中的稳态电流是CV测量得到的么?
已经有5人回复
【求助】循环伏安中的半波电位是如何确定的?
已经有70人回复
【求助】循环伏安法中只有还原峰没有氧化峰是什么原因
已经有33人回复
langzhizhou
版主 (职业作家)
- ECEPI: 13
- 应助: 1072 (博后)
- 贵宾: 1.631
- 金币: 32033.8
- 散金: 6372
- 红花: 305
- 帖子: 3172
- 在线: 409.1小时
- 虫号: 507377
- 注册: 2008-02-19
- 性别: GG
- 专业: 电化学
- 管辖: 电化学

2楼2013-07-02 00:06:23
langzhizhou
版主 (职业作家)
- ECEPI: 13
- 应助: 1072 (博后)
- 贵宾: 1.631
- 金币: 32033.8
- 散金: 6372
- 红花: 305
- 帖子: 3172
- 在线: 409.1小时
- 虫号: 507377
- 注册: 2008-02-19
- 性别: GG
- 专业: 电化学
- 管辖: 电化学

13楼2013-07-04 23:47:53
星夜杨凡
金虫 (小有名气)
- 应助: 4 (幼儿园)
- 金币: 2102.6
- 帖子: 84
- 在线: 46.2小时
- 虫号: 2309885
- 注册: 2013-03-01
- 性别: GG
- 专业: 冶金物理化学与冶金原理
3楼2013-07-02 08:35:03
星夜杨凡
金虫 (小有名气)
- 应助: 4 (幼儿园)
- 金币: 2102.6
- 帖子: 84
- 在线: 46.2小时
- 虫号: 2309885
- 注册: 2013-03-01
- 性别: GG
- 专业: 冶金物理化学与冶金原理
4楼2013-07-02 08:37:10
792299196
铁杆木虫 (职业作家)
老虎
- ECEPI: 11
- 应助: 225 (大学生)
- 贵宾: 0.276
- 金币: 9101.1
- 散金: 310
- 红花: 54
- 沙发: 18
- 帖子: 3822
- 在线: 469.9小时
- 虫号: 1405439
- 注册: 2011-09-17
- 性别: GG
- 专业: 光谱分析

5楼2013-07-02 08:37:23
星夜杨凡
金虫 (小有名气)
- 应助: 4 (幼儿园)
- 金币: 2102.6
- 帖子: 84
- 在线: 46.2小时
- 虫号: 2309885
- 注册: 2013-03-01
- 性别: GG
- 专业: 冶金物理化学与冶金原理
6楼2013-07-02 16:26:09
星夜杨凡
金虫 (小有名气)
- 应助: 4 (幼儿园)
- 金币: 2102.6
- 帖子: 84
- 在线: 46.2小时
- 虫号: 2309885
- 注册: 2013-03-01
- 性别: GG
- 专业: 冶金物理化学与冶金原理
7楼2013-07-02 16:57:24
langzhizhou
版主 (职业作家)
- ECEPI: 13
- 应助: 1072 (博后)
- 贵宾: 1.631
- 金币: 32033.8
- 散金: 6372
- 红花: 305
- 帖子: 3172
- 在线: 409.1小时
- 虫号: 507377
- 注册: 2008-02-19
- 性别: GG
- 专业: 电化学
- 管辖: 电化学

8楼2013-07-02 20:03:18

9楼2013-07-02 20:44:50
星夜杨凡
金虫 (小有名气)
- 应助: 4 (幼儿园)
- 金币: 2102.6
- 帖子: 84
- 在线: 46.2小时
- 虫号: 2309885
- 注册: 2013-03-01
- 性别: GG
- 专业: 冶金物理化学与冶金原理
10楼2013-07-02 21:47:42













回复此楼
10