| 查看: 208 | 回复: 0 | ||
dicky_you木虫 (著名写手)
|
[求助]
求命名
|
|
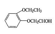
如题,图中的2个物质我可能命名不对,网上收不到CAS号,祈求小木虫大神给重新命名一下啊,还有你们在面对复杂物质不知道名称时,怎么去查它的相关信息,如CAS号等,怎么去购买?谢谢 这是第一个.jpg 这是第二个.jpg |
» 猜你喜欢
各位大佬,H口面上什么时候会评???
已经有30人回复
2026年山东大学海洋学院生物与医药博士招生-李霞课题组
已经有0人回复
药理学论文润色/翻译怎么收费?
已经有134人回复
博士研究生招生
已经有0人回复
药理学、临床药学方向 调剂
已经有1人回复














回复此楼