| ²é¿´: 1942 | »Ø¸´: 13 | ||||
zaizai6688гæ (СÓÐÃûÆø)
|
[ÇóÖú]
Çó¸ßÊÖ·ÖÎö£¬¸ßÊÖ·ÖÎö»·ÑõÊ÷Ö¬µÄ²£Á§»¯×ª±äζÈÒÔ¼°¸ÃͼµÄÏà¹Ø·ÖÎö£¡
|
|||
|
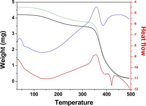
¸ßÊÖ·ÖÎö»·ÑõÊ÷Ö¬£¬ÒÔ¼°¸´ºÏÒÔºóµÄ²ÄÁϵÄÈÈÖØDSCºÍTG·ÖÎö£¡ÒÔÏÂÊÇͼ£¡ºìÏߺͺÚÏßÊÇÒ»Ì×£¬ÊÇ´¿¾»µÄ»·ÑõÊ÷Ö¬»ùÌ壻À¶ÏߺÍÂÌÏßÊÇÒ»Ì×£¬ÊǸ´ºÏÄÉÃײÄÁÏÒÔºóµÄÊ÷Ö¬»ù²ÄÁÏ£¡ 333.jpg |
» ±¾Ìû@֪ͨ
@2909039745626 @chen_chen_01 @fbqrdzs @helena-yi @hwweven @սϮÄÏ @qiaozhi8702 @qsywp @RIBERY2006 ... ²é¿´¸ü¶à
» ²ÂÄãϲ»¶
ÄϾ©ÁÖÒµ´óѧ¹ú¼Ò¹¤³ÌÖÐÐÄÀÌνÌÊÚ¿ÎÌâ×éÕÐÊÕÑо¿Éú
ÒѾÓÐ11È˻ظ´
Äâ½â¾öµÄ¹Ø¼ü¿ÆÑ§ÎÊÌ⻹Ҫ²»ÒªÐ´
ÒѾÓÐ20È˻ظ´
½¨Öþ»·¾³Óë½á¹¹¹¤³ÌÂÛÎÄÈóÉ«/·ÒëÔõôÊÕ·Ñ?
ÒѾÓÐ82È˻ظ´
[µ¼Ê¦ÕÐÉú]È«½±²©Ê¿ÉúÕÐÉú¡ªÏã¸Û¶¼»á´óѧ
ÒѾÓÐ0È˻ظ´
Ò»Ö¾Ô¸ÖÐʯÓÍ£¨»ª¶«£©£¬0854µç×ÓÐÅϢר˶392·Ö£¬Çóµ÷¼Á
ÒѾÓÐ0È˻ظ´
Î÷¾©Ñ§Ôº-ÍÁľˮÀû2026Ñо¿Éú-½á¹¹¿¹ÕðÓëÖÇÄܼì²â
ÒѾÓÐ0È˻ظ´
Î÷¾©Ñ§Ôº-ÍÁľˮÀû2026Ñо¿Éú-¸ßÐÔÄܽṹÓëÖÇÄܲÄÁÏ
ÒѾÓÐ0È˻ظ´
¡¾µ÷¼ÁÉêÇë¡¿ÍÁľˮÀû£¨×Ü·Ö314£¬Ò»Ö¾Ô¸¹þ¹¤´ó£©
ÒѾÓÐ0È˻ظ´
» ±¾Ö÷ÌâÏà¹ØÉ̼ÒÍÆ¼ö: (ÎÒÒ²ÒªÔÚÕâÀïÍÆ¹ã)
» ±¾Ö÷ÌâÏà¹Ø¼ÛÖµÌùÍÆ¼ö£¬¶ÔÄúͬÑùÓаïÖú:
Çó¸ßÊÖ·ÖÎöÏÂÕâ¸öͼÖеIJ£Á§»¯×ª±äζÈÔÚÄǸöÇøÓò
ÒѾÓÐ7È˻ظ´
ÈçºÎÔÚexcelÖÐʹÓù«Ê½¼ÆËã¾ÛºÏÎïµÄ²£Á§»¯Î¶ȣ¬Çó¸ßÊÖÖ¸µã
ÒѾÓÐ4È˻ظ´
¡¾ÇóÖú¡¿ÇóÖú¹ØÓÚ»·ÑõÊ÷Ö¬¸´ºÏ²ÄÁÏÀÉìÇ¿¶È¼°²£Á§»¯Î¶ȵÄÎÊÌâ
ÒѾÓÐ3È˻ظ´
¡¾ÇóÖú¡¿ËÖªµÀÔÀ»¯°ÍÁêʯ»¯CYD013·ÛĩͿÁÏÓû·ÑõÊ÷Ö¬µÄ¹Ì»¯³ÉĤºóµÄ·Ö½âζȷ¶Î§£¿
ÒѾÓÐ5È˻ظ´
¡¾ÌÖÂÛ¡¿Ôõô·ÖÎöDSCͼ?ÎÒµÄÈÛÈÚζÈÊǶàÉÙ£¿²£Á§»¯Î¶ȣ¿
ÒѾÓÐ16È˻ظ´
¡¾ÇóÖú¡¿»·ÑõÊ÷Ö¬ºÍÒÒÏ©»ùÊ÷Ö¬µÄ²£Á§»¯Î¶ȶ¼ÊǶàÉÙ£¿
ÒѾÓÐ4È˻ظ´
¡¾ÇóÖú¡¿Ôõô·ÖÎöDSCÇúÏßÖеÄÈÛÈÚת±äζȡ¢²£Á§»¯×ª±äζȺͽᾧ¶È£¿
ÒѾÓÐ37È˻ظ´
¡¾ÇóÖú¡¿¾Ûí¿ÔöÈÍ»·ÑõÊ÷Ö¬µÄ²£Á§»¯×ª±äζȣ¿
ÒѾÓÐ8È˻ظ´
lizhengwu
ľ³æ (ÕýʽдÊÖ)
- Ó¦Öú: 56 (³õÖÐÉú)
- ½ð±Ò: 6638.7
- É¢½ð: 12
- ºì»¨: 1
- Ìû×Ó: 885
- ÔÚÏß: 259.6Сʱ
- ³æºÅ: 870013
- ×¢²á: 2009-10-12
- רҵ: ¾ÛºÏÎï¹²»ìÓ븴ºÏ²ÄÁÏ
¡¾´ð°¸¡¿Ó¦Öú»ØÌû
¡ï
¸Ðл²ÎÓ룬ӦÖúÖ¸Êý +1
zaizai6688: ½ð±Ò+1 2013-06-21 15:09:20
¸Ðл²ÎÓ룬ӦÖúÖ¸Êý +1
zaizai6688: ½ð±Ò+1 2013-06-21 15:09:20
| TgÊÇÆ½Ì¨±ä»¯¶ø²»ÊǷ壬ÇúÏßÏòÏÂÍä¡£¾ÍͼÉÏ¿´£¬Ç°Ãæ100-150ÄÇλÖÿÉÄÜÊÇTg£¬ÔÚÕâ¸öͼÉϲ»ºÃ¿´£¬×îºÃ×öÒ»¸öµÍεÄDSC |
4Â¥2013-06-20 21:33:43
´ó×ìëë³æ
ľ³æ (ÕýʽдÊÖ)
- Ó¦Öú: 5 (Ó×¶ùÔ°)
- ½ð±Ò: 3027.6
- Ìû×Ó: 653
- ÔÚÏß: 473.7Сʱ
- ³æºÅ: 659093
- ×¢²á: 2008-11-21
- ÐÔ±ð: GG
- רҵ: ¸ß·Ö×Ӻϳɻ¯Ñ§
5Â¥2013-06-20 22:41:13
´ó×ìëë³æ
ľ³æ (ÕýʽдÊÖ)
- Ó¦Öú: 5 (Ó×¶ùÔ°)
- ½ð±Ò: 3027.6
- Ìû×Ó: 653
- ÔÚÏß: 473.7Сʱ
- ³æºÅ: 659093
- ×¢²á: 2008-11-21
- ÐÔ±ð: GG
- רҵ: ¸ß·Ö×Ӻϳɻ¯Ñ§
¡¾´ð°¸¡¿Ó¦Öú»ØÌû
¡ï
zaizai6688: ½ð±Ò+1 2013-06-21 15:12:22
zaizai6688: ½ð±Ò+1 2013-06-21 15:12:22
| Ò»°ãTGAÖеķֽâζÈÒªµÍÓÚDSCÖеķֽâÎÂ¶È |
6Â¥2013-06-20 22:42:09
qsywp
ר¼Ò¹ËÎÊ (ÖøÃûдÊÖ)
-

ר¼Ò¾Ñé: +239 - Ó¦Öú: 541 (²©Ê¿)
- ¹ó±ö: 0.008
- ½ð±Ò: 15523.6
- ºì»¨: 30
- Ìû×Ó: 2507
- ÔÚÏß: 609.1Сʱ
- ³æºÅ: 88010
- ×¢²á: 2005-08-22
- רҵ: ¸ß·Ö×Ó¿ÆÑ§
- ¹ÜϽ: ¸´ºÏ²ÄÁÏ
¡¾´ð°¸¡¿Ó¦Öú»ØÌû
¡ï ¡ï
¸Ðл²ÎÓ룬ӦÖúÖ¸Êý +1
zaizai6688: ½ð±Ò+2 2013-06-21 15:13:00
¸Ðл²ÎÓ룬ӦÖúÖ¸Êý +1
zaizai6688: ½ð±Ò+2 2013-06-21 15:13:00
|
Õâ¸öͼ²»Ì«ºÃ¿´£¡²£Á§»¯Î¶Ȳ»ºÃ˵£¡ÒòΪ150¡ãC×óÓÒ¶ÔÓ¦TGÓиöÊ§ÖØ¡£300~350¡ãC̨½×Óеã¸ßÁË£¡ ÖÁÓÚС¼â·å£¬¸öÈ˸оõ»¹ÊÇÓеģ¬Ö»ÊǸÄÐÔºóÏûÈõÁË£¬±ä³É¼ç·å£¡ ´ÓͼÆ×¿´£¬¸´ºÏºóÈÈ·Ö½âζÈûÓб仯¡£ |
7Â¥2013-06-21 08:23:11
սϮÄÏ
ľ³æ (ÕýʽдÊÖ)
- Ó¦Öú: 151 (¸ßÖÐÉú)
- ¹ó±ö: 0.06
- ½ð±Ò: 4553.6
- É¢½ð: 286
- ºì»¨: 12
- Ìû×Ó: 789
- ÔÚÏß: 246.8Сʱ
- ³æºÅ: 458073
- ×¢²á: 2007-11-13
- רҵ: Óлú¸ß·Ö×Ó²ÄÁÏ
¡¾´ð°¸¡¿Ó¦Öú»ØÌû
¡ï
¸Ðл²ÎÓ룬ӦÖúÖ¸Êý +1
zaizai6688: ½ð±Ò+1 2013-06-21 15:15:44
¸Ðл²ÎÓ룬ӦÖúÖ¸Êý +1
zaizai6688: ½ð±Ò+1 2013-06-21 15:15:44
|
350-400Ó¦¸Ã²»ÊÇTg£¬ÎÒ»¹Ã»¼û¹ýTgÔÚ300¡æÒÔÉϵĴ¿»·Ñõ¹Ì»¯Îï¡£¶øÒ»°ã¸ß·Ö×ӵķֽâζȲ¶à¾ÍÕâ¸öζȣ¬²¢ÇÒÄãµÄͼÀïÃæ»¹Óзdz£Ã÷ÏÔµÄÈÈÊ§ÖØ¡£ ÄǸöÎüÈȵļâ·åÄãÓÐÖØ¸´×ö¹ýÂ𣿸оõºÜÆæ¹Ö£¬ÄǸöλÖù̻¯Îï¶¼ÒѾ¿ì·Ö½âÍêÁË¡£ ÁíÍâÕâ¸öDSCÓ¦¸ÃÊÇTG×Ô´øµÄ¼ÆËãµÃµ½µÄÇúÏß°É£¬¸öÈËÈÏΪûÓÐרÃŵÄDSC²âÊÔ׼ȷ¡£ |
8Â¥2013-06-21 09:20:10
hwweven
ÖÁ×ðľ³æ (ÖªÃû×÷¼Ò)
Ò½ÁÆÆ÷еע²áºÍÉóºË
- CM-EPI: 4
- Ó¦Öú: 854 (²©ºó)
- ¹ó±ö: 1.482
- ½ð±Ò: 26666.4
- É¢½ð: 8259
- ºì»¨: 192
- ɳ·¢: 20
- Ìû×Ó: 8940
- ÔÚÏß: 1616.8Сʱ
- ³æºÅ: 489804
- ×¢²á: 2008-01-02
- ÐÔ±ð: GG
- רҵ: Ï𽺼°µ¯ÐÔÌå
¡¾´ð°¸¡¿Ó¦Öú»ØÌû
¡ï ¡ï ¡ï ¡ï ¡ï
¸Ðл²ÎÓ룬ӦÖúÖ¸Êý +1
zaizai6688: ½ð±Ò+1 2013-06-21 15:16:36
zaizai6688: ½ð±Ò+4, ¡ïÓаïÖú 2013-06-21 15:18:04
¸Ðл²ÎÓ룬ӦÖúÖ¸Êý +1
zaizai6688: ½ð±Ò+1 2013-06-21 15:16:36
zaizai6688: ½ð±Ò+4, ¡ïÓаïÖú 2013-06-21 15:18:04
|
¿´²»ÇåTgµÄƽ̨±ä»¯£¬¿ÉÄܲ¢²»ÔÚÕâ¸öζȷ¶Î§ÄÚ¡£ ×Ý×ø±êû±êÎüÈÈ·ÅÈÈ·½Ïò£¬²»ºÃ·ÖÎö¡£ |
9Â¥2013-06-21 09:35:12
hwweven
ÖÁ×ðľ³æ (ÖªÃû×÷¼Ò)
Ò½ÁÆÆ÷еע²áºÍÉóºË
- CM-EPI: 4
- Ó¦Öú: 854 (²©ºó)
- ¹ó±ö: 1.482
- ½ð±Ò: 26666.4
- É¢½ð: 8259
- ºì»¨: 192
- ɳ·¢: 20
- Ìû×Ó: 8940
- ÔÚÏß: 1616.8Сʱ
- ³æºÅ: 489804
- ×¢²á: 2008-01-02
- ÐÔ±ð: GG
- רҵ: Ï𽺼°µ¯ÐÔÌå
12Â¥2013-06-21 15:54:53
houhuihui000
½ð³æ (ÕýʽдÊÖ)
- Ó¦Öú: 22 (СѧÉú)
- ½ð±Ò: 1736
- É¢½ð: 47
- ºì»¨: 1
- Ìû×Ó: 517
- ÔÚÏß: 134.5Сʱ
- ³æºÅ: 1669518
- ×¢²á: 2012-03-06
- ÐÔ±ð: GG
- רҵ: Óлú·Ö×Ó¹¦ÄܲÄÁÏ»¯Ñ§
13Â¥2013-06-21 16:33:48
zaizai6688
гæ (СÓÐÃûÆø)
- Ó¦Öú: 0 (Ó×¶ùÔ°)
- ½ð±Ò: 0.5
- Ìû×Ó: 70
- ÔÚÏß: 48.3Сʱ
- ³æºÅ: 1335317
- ×¢²á: 2011-07-01
- רҵ: ÎÞ»ú·Ç½ðÊôÀà¹âµçÐÅÏ¢Ó빦
| ¶ÔÁË£¬ÍüÁËÎÊÎÊÌâÁË£¡²»ºÃÒâ˼£¬Ö÷ÒªÎÒÊÇÏëÖªµÀ¸´ºÏÒÔºóÓÐÒ»¸öÎüÈȵļâ·åÏûʧÁË£¬µ½µ×ÊÇʲôÔÒòÄØ£¿´Ë´¦Ö»¸øÁËÒ»¸ö¸´ºÏµÄͼÏߣ¬Æäʵ²»Í¬±ÈÀýµÄ¸´ºÏµÄ¶¼ÊÇÕâÑùµÄ£¬µ½µ×ÊÇÔú»ØÊ£¡£¿²£Á§»¯×ª±äζÈÊÇÔÚ350¡æ£¬»¹ÊÇÔÚ~400¡æ£¬»òÕßÊÇÄĸöÏûʧµÄ¼âÈñ·åµÄλÖÃÄØ£¿ÕâÊÇСµÜ·Ç³£²»Ã÷°×µÄµØ·½£¬Çó¸÷λ¸ç¸ç½ã½ã£¬°ï°ï棡²»Ê¤¸Ð¼¤£¡£¡£¡£¡ |
2Â¥2013-06-20 16:55:33
mingzai6688
гæ (СÓÐÃûÆø)
- Ó¦Öú: 0 (Ó×¶ùÔ°)
- ½ð±Ò: 5
- Ìû×Ó: 84
- ÔÚÏß: 19.9Сʱ
- ³æºÅ: 1335331
- ×¢²á: 2011-07-01
- רҵ: ÎÞ»ú·Ç½ðÊôÀà¹âµçÐÅÏ¢Ó빦
3Â¥2013-06-20 21:22:55
zaizai6688
гæ (СÓÐÃûÆø)
- Ó¦Öú: 0 (Ó×¶ùÔ°)
- ½ð±Ò: 0.5
- Ìû×Ó: 70
- ÔÚÏß: 48.3Сʱ
- ³æºÅ: 1335317
- ×¢²á: 2011-07-01
- רҵ: ÎÞ»ú·Ç½ðÊôÀà¹âµçÐÅÏ¢Ó빦
10Â¥2013-06-21 15:11:08













»Ø¸´´ËÂ¥
