| 查看: 3071 | 回复: 23 | ||
[求助]
石墨烯的循环伏安到底有没有还原氧化峰???它的峰到底是什么样的???
|
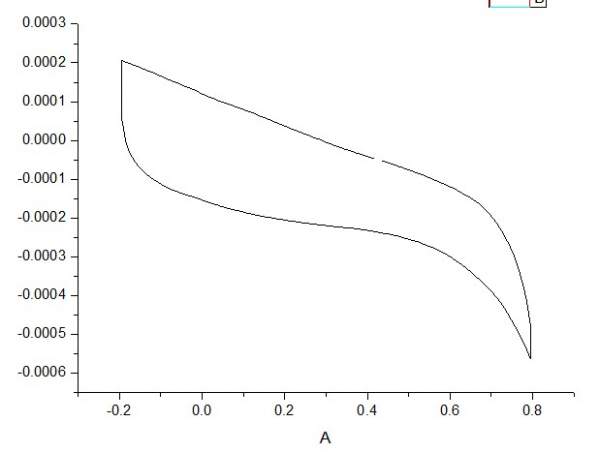
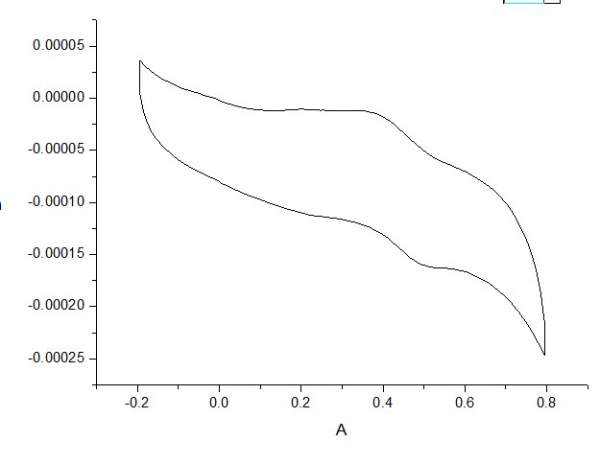
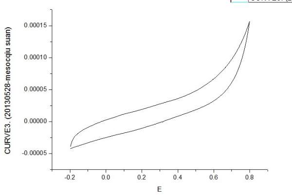
大家好,我的石墨烯采用的化学还原法制备得到的,最近一个月一直在做循环伏安曲线,但是做了几次每次结果都不一样,还有氧化石墨的循环伏安图像是什么形状的???现在我自己完全弄不明白了![]() ![]() ,希望各位前辈们出来指导一下,在这先谢谢大家了,金币还会增加。。。。。。石墨烯17.jpg 石墨烯2.jpg GO1.jpg GO24.jpg 文献(I.jpg |
» 猜你喜欢
无机化学论文润色/翻译怎么收费?
已经有68人回复
» 本主题相关商家推荐: (我也要在这里推广)
» 本主题相关价值贴推荐,对您同样有帮助:
氧化石墨烯的还原
已经有9人回复
石墨烯,石墨烯氧化物,氧化石墨烯,电化学还原石墨烯氧化物 晕了!
已经有8人回复
怎么把氧化态的石墨烯变成还原态
已经有11人回复
水热法还原氧化石墨烯的原理
已经有10人回复
氧化石墨烯还原的问题,欢迎大家讨论
已经有25人回复
有没有常温下化学还原氧化石墨烯(GO)的方法啊?
已经有3人回复
关于氧化石墨烯还原后处理的问题...
已经有12人回复
请问南京吉仓的氧化石墨烯怎么样?
已经有22人回复
如何表征氧化石墨烯(GO)的还原程度
已经有19人回复
用什么有效的还原剂 还原氧化石墨烯
已经有36人回复
如何用化学方法还原氧化石墨烯
已经有4人回复
氧化石墨烯的部分还原方法
已经有85人回复
石墨烯与氧化石墨的XRD,石墨烯是否合成成功?
已经有48人回复
氧化石墨烯的AFM怎么会这样?
已经有36人回复
求助,用氧化石墨烯修饰电极后物质氧化峰并未明显增加
已经有11人回复
氮掺杂石墨烯和氮还原氧化石墨烯的区别?
已经有21人回复
石墨 石墨烯 氧化石墨烯之间是什么关系?
已经有8人回复
关于氧化石墨被还原成氧化石墨烯后的XRD
已经有13人回复
硼氢化钠还原氧化石墨烯的问题
已经有17人回复
水合肼还原氧化石墨烯的用量和条件
已经有18人回复
氧化石墨烯还原
已经有19人回复
【求助】石墨烯氧化及还原机理
已经有13人回复
【请教】氧化还原 石墨烯 一些问题
已经有10人回复
2楼2013-06-20 11:02:47
398540427
金虫 (小有名气)
- 应助: 23 (小学生)
- 金币: 1450.5
- 红花: 1
- 帖子: 166
- 在线: 443.1小时
- 虫号: 2316908
- 注册: 2013-03-04
- 专业: 金属功能材料
3楼2013-06-20 14:27:51
xpjdzh752
木虫 (正式写手)
- 应助: 0 (幼儿园)
- 金币: 1498.4
- 散金: 84
- 帖子: 651
- 在线: 556.1小时
- 虫号: 448104
- 注册: 2007-11-01
- 性别: GG
- 专业: 有机化工
4楼2013-06-20 14:35:02
alfredfun
木虫 (正式写手)
小木虫
- 应助: 9 (幼儿园)
- 金币: 2861.9
- 散金: 704
- 红花: 1
- 帖子: 327
- 在线: 427.9小时
- 虫号: 1108757
- 注册: 2010-09-26
- 性别: GG
- 专业: 计算机体系结构

5楼2013-06-20 23:36:24
daoke
木虫 (著名写手)
- 应助: 6 (幼儿园)
- 金币: 1693.4
- 散金: 3270
- 红花: 16
- 帖子: 1456
- 在线: 504.4小时
- 虫号: 397227
- 注册: 2007-06-09
- 性别: GG
- 专业: 敏感电子学与传感器
6楼2013-06-21 08:05:49
7楼2013-06-21 08:43:35
daoke
木虫 (著名写手)
- 应助: 6 (幼儿园)
- 金币: 1693.4
- 散金: 3270
- 红花: 16
- 帖子: 1456
- 在线: 504.4小时
- 虫号: 397227
- 注册: 2007-06-09
- 性别: GG
- 专业: 敏感电子学与传感器
8楼2013-06-21 08:45:20
9楼2013-06-21 08:45:30
398540427
金虫 (小有名气)
- 应助: 23 (小学生)
- 金币: 1450.5
- 红花: 1
- 帖子: 166
- 在线: 443.1小时
- 虫号: 2316908
- 注册: 2013-03-04
- 专业: 金属功能材料
10楼2013-06-21 09:38:00














回复此楼

海豚精灵
