24小时热门版块排行榜    

北京石油化工学院2026年研究生招生接收调剂公告
查看: 1626  |  回复: 1

ljzzhet

新虫 (初入文坛)

[求助] UDS方程中的对流项

UDS方程中的对流项
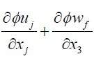
现在有一个UDS方程中的对流项如图所示,其中Wf为常数,取0.3,我编辑的UDF代码如下,但是导入FLUENT后计算不收敛,不知道是不是对流项出错了,求各位大神指导!!刚注册,没什么金币,就靠大家帮忙了!
DEFINE_UDS_FLUX(snow_uds_flux,f,t,i)
{
   real U[ND_ND],A[ND_ND],flux;
   cell_t c0,c1;
   Thread *t0,*t1;
   c0=F_C0(f,t);
   t0=F_C0_THREAD(f,t);
   F_AREA(A,f,t);
   flux=0.0;
   c1=-1;
   t1=NULL;
  
   if(BOUNDARY_FACE_THREAD_P(t))
     {          
              U[0]=F_U(f,t);
                  U[1]=F_V(f,t);
                  U[2]=(F_W(f,t)+0.3);
                  flux=U[0]*A[0]+U[1]*A[1]+U[2]*A[2];
     }
   else
   {
              c1=F_C1(f,t);
              t1=F_C1_THREAD(f,t);
              U[0]=(C_U(c0,t0)+C_U(c1,t1))/2.0;
                  U[1]=(C_V(c0,t0)+C_V(c1,t1))/2.0;
                  U[2]=(C_W(c0,t0)+0.3+C_W(c1,t1)+0.3)/2.0;
                  flux=U[0]*A[0]+U[1]*A[1]+U[2]*A[2];
   }   
   return flux;
}

采用NV_宏定义的向量形式编辑如下:
DEFINE_UDS_FLUX(snow_uds_flux,f,t,i)
{
   real NV_VEC(psi_vec),NV_VEC(A),flux;
   real U0,V0,W0,U1,V1,W1;
   cell_t c0,c1;
   Thread *t0,*t1;
   c0=F_C0(f,t);
   t0=F_C0_THREAD(f,t);
   F_AREA(A,f,t);
   flux=0.0;
   c1=-1;
   t1=NULL;
  
   if(BOUNDARY_FACE_THREAD_P(t))
     {
          real dens;
                  if (NNULLP(THREAD_STORAGE(t,SV_DENSITY)))
                          dens=F_R(f,t);
                  else
                          dens=C_R(c0,t0);
          U0=F_U(f,t);
                  V0=F_V(f,t);
                  W0=(F_W(f,t)+0.3);
              NV_DS(psi_vec,=,U0,V0,W0,*,dens);
              flux=NV_DOT(psi_vec,A);
     }
   else
     {
              c1=F_C1(f,t);
              t1=F_C1_THREAD(f,t);
                  U0=C_U(c0,t0);
                  V0=C_V(c0,t0);
                  W0=(C_W(c0,t0)+0.3);
                  U1=C_U(c1,t1);
                  V1=C_V(c1,t1);
                  W1=(C_W(c1,t1)+0.3);
              NV_DS(psi_vec,=,U0,V0,W0,*,C_R(c0,t0));
                  NV_DS(psi_vec,+=,U1,V1,W1,*,C_R(c1,t1));   
          flux=NV_DOT(psi_vec,A)/2.0;
     }
   return flux;
}
这两种方法是不是一样的呢?
回复此楼
已阅   回复此楼   关注TA 给TA发消息 送TA红花 TA的回帖

zhougaozhao

新虫 (初入文坛)

请问您解决这个问题了么
2楼2017-03-19 16:17:13
已阅   回复此楼   关注TA 给TA发消息 送TA红花 TA的回帖
相关版块跳转 我要订阅楼主 ljzzhet 的主题更新
最具人气热帖推荐 [查看全部] 作者 回/看 最后发表
[考研] 288环境专硕,求调材料方向 +5 lllllos 2026-04-04 5/250 2026-04-04 19:46 by 来看流星雨10
[考研] 求生物学学硕调剂——364分 +5 云朵遛弯指南 2026-04-04 5/250 2026-04-04 19:36 by 唐沐儿
[考研] 一志愿华北电力大学(北京),材料科学与工程学硕265,求调剂 +10 yelck 2026-04-03 11/550 2026-04-04 18:48 by imissbao
[考研] 材料334求调剂 +12 Eecho# 2026-04-03 12/600 2026-04-04 16:56 by asdhh1991
[考研] 334求调剂 +8 曾仰之 2026-04-03 8/400 2026-04-04 11:16 by w_xuqing
[考研] 265求调剂 +17 林深温澜 2026-04-01 20/1000 2026-04-04 01:09 by userper
[考研] 320分人工智能调剂 +6 振—TZ 2026-04-03 6/300 2026-04-04 01:05 by Dream007008
[考研] 学硕288调剂!!! +3 小王xw123 2026-04-03 3/150 2026-04-03 21:20 by 啵啵啵0119
[考研] 293求调剂 +5 末未mm 2026-04-02 6/300 2026-04-03 15:20 by 王保杰33
[考研] 生物学求调剂 +3 15064154688 2026-04-03 3/150 2026-04-03 10:28 by macy2011
[考研] 273求调剂 +20 李芷新1 2026-03-31 20/1000 2026-04-03 09:58 by linyelide
[考研] 一志愿北京科技材料科学与工程288分,求调剂 +14 是辰啊 2026-04-02 14/700 2026-04-02 21:10 by dongzh2009
[考研] 279求调剂 +5 傅文秋 2026-04-02 5/250 2026-04-02 18:10 by 笔落锦州
[考研] 301求调剂 +4 细胞相关蛋白 2026-04-02 8/400 2026-04-02 16:30 by 271179835
[考研] 282求调剂 +13 呼吸都是减肥 2026-04-01 13/650 2026-04-02 14:10 by baoball
[考研] 一志愿安徽大学计算机科学与技术学硕,331分求调剂 +5 蒋昌鹏qtj 2026-04-01 5/250 2026-04-02 08:10 by fxue1114
[考研] 一志愿北交大材料工程,总分358 +4 cs0106 2026-04-01 4/200 2026-04-02 07:42 by 尚水阁主
[考研] 266分,一志愿电气工程,本科材料,求材料专业调剂 +10 哇呼哼呼哼 2026-04-01 11/550 2026-04-01 21:48 by chyhaha
[考研] 285求调剂 +7 AZMK 2026-03-30 13/650 2026-04-01 17:00 by 七度不信任
[考研] 269求调剂 +4 我想读研11 2026-03-31 4/200 2026-03-31 10:04 by cal0306
信息提示
请填处理意见