| 查看: 379 | 回复: 1 | ||
[求助]
急,求助一个结构的命名
|
|
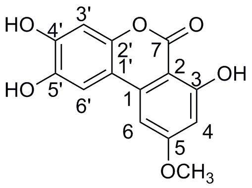
这个化合物(见图片),chemdraw自动命名为:2,3,7-trihydroxy-9-methoxy-6H-benzo[c]chromen-6-one,但我想根据我的编号(见图片)来命名,请教高手这个该怎么命名? 化合物结构图.JPG |
» 猜你喜欢
材料与化工(0856)304求B区调剂
已经有13人回复
材料科学与工程调剂
已经有15人回复
292求调剂
已经有10人回复
266分,一志愿电气工程,本科材料,求材料专业调剂
已经有4人回复
285求调剂
已经有6人回复
材料专硕322分
已经有6人回复
324求调剂
已经有4人回复
一志愿南昌大学324求调剂
已经有4人回复
找调剂
已经有3人回复
一志愿南昌大学324求调剂
已经有7人回复
» 本主题相关价值贴推荐,对您同样有帮助:
求助一个结构式命名的中文翻译
已经有7人回复
求助一个化合物命名,求高手帮帮忙!~谢谢~
已经有31人回复
【求助】昂丹司琼的正确命名,恳请高手出现~~~
已经有3人回复
求助:如何判断一个纳米结构的稳定性
已经有7人回复
能带结构图 紧急求助
已经有20人回复
【求助】急求一个化合物的命名
已经有6人回复
【求助】求助命名
已经有3人回复
【求助】配合物命名
已经有3人回复
【求助】高分子结构的命名
已经有3人回复
【求助】怎么推断有机物的理化性质
已经有11人回复
【求助】新化合物的命名
已经有3人回复
【求助】结构式的命名
已经有4人回复
求助为一实验室命名
已经有12人回复
【求助】药物的系统命名
已经有4人回复
【求助】有关一个复杂化合物的结构与命名问题
已经有3人回复

wanglibo66
实习版主
![]()
![]()
![]()
![]()
- 应助: 158 (高中生)
- 金币: 846
- 红花: 5
- 帖子: 280
- 在线: 38.7小时
- 虫号: 1684744
- 注册: 2012-03-12
- 性别: MM
- 专业: 天然药物化学
2楼2013-05-25 07:40:44














回复此楼