| 查看: 1029 | 回复: 5 | |
[求助]
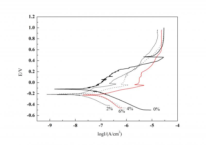
极化曲线怎么总是不对
|
|
|
|
|
adsszw木虫 (正式写手)
|
|
|
2楼2013-05-20 08:40:43
|
|
|
3楼2013-05-20 08:45:24
|
|
adsszw木虫 (正式写手)
|
|
|
4楼2013-05-20 09:59:17
|
|
zxhappy至尊木虫 (职业作家)
|
|
![]() |
|
|
5楼2013-05-20 11:09:38
|
|
|
6楼2013-05-20 23:52:32
|
|












回复此楼

5