版块导航
正在加载中...
客户端APP下载
论文辅导
申博辅导
登录
注册
帖子
帖子
用户
本版
应《网络安全法》要求,自2017年10月1日起,未进行实名认证将不得使用互联网跟帖服务。为保障您的帐号能够正常使用,请尽快对帐号进行手机号验证,感谢您的理解与支持!
24小时热门版块排行榜
>
论坛更新日志
(4022)
>
文献求助
(386)
>
虫友互识
(358)
>
休闲灌水
(272)
>
导师招生
(261)
>
考博
(126)
>
硕博家园
(112)
>
基金申请
(88)
>
论文投稿
(84)
>
博后之家
(78)
>
招聘信息布告栏
(72)
>
考研
(67)
>
教师之家
(46)
>
绿色求助(高悬赏)
(42)
>
公派出国
(42)
>
找工作
(34)
小木虫论坛-学术科研互动平台
»
计算模拟区
»
计算模拟
»
求助:用MATLAB表达这个函数形式并且画出图像
2
1/1
返回列表
查看: 495 | 回复: 1
只看楼主
@他人
存档
新回复提醒
(忽略)
收藏
在APP中查看
岚烟
铁虫
(初入文坛)
应助: 0
(幼儿园)
金币: 1.6
散金: 16
帖子: 26
在线: 19.3小时
虫号: 1401404
注册: 2011-09-14
专业: 无机非金属基复合材料
[
求助
]
求助:用MATLAB表达这个函数形式并且画出图像
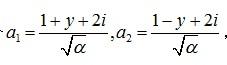
如图的表达式关于y,t的函数,怎样用MATLAB画出图像,或者算出结果?
除了y,t以外其他的参数已知,可以先随便取值
37223-53778a5ab00eea49d7421ac754b64b1a.jpg
5341-50e8f1b6dd8a9542f63c41556f6a067b.jpg
回复此楼
» 猜你喜欢
新西兰Robinson研究所招收全奖PhD
已经有0人回复
石墨烯转移--二氧化硅衬底石墨烯
已经有0人回复
物理学I论文润色/翻译怎么收费?
已经有199人回复
笼目材料中量子自旋液体基态的证据
已经有0人回复
数学教学论硕士可以读数学物理博士吗?
已经有0人回复
德国亥姆霍兹Hereon中心汉堡分部招镁合金腐蚀裂变SCC课题方向2026公派博士生
已经有4人回复
澳门大学 应用物理及材料工程研究院 潘晖教授课题组诚招博士后
已经有11人回复
求助NH4V4O10晶体的CIF文件
已经有0人回复
英国全奖博士招聘-深度学习与量子物理
已经有0人回复
间接带隙半导体有效质量求助
已经有1人回复
投稿chemical physical letters不送审?
已经有2人回复
» 本主题相关价值贴推荐,对您同样有帮助:
求助 matlab隐函数画图问题
已经有4人回复
MATLAB画出图的dpi和像素的问题
已经有11人回复
求助:如何用MATLAB的偏微分方程工具箱画出不同区域内的温度分布图?
已经有5人回复
如何用Matlab画矩阵的散点图?
已经有3人回复
这种图表matlab可以画,excel可以画不?
已经有7人回复
matlab画图求助
已经有11人回复
求助如何用matlab取出直线上的点
已经有10人回复
matlab 积分求助
已经有8人回复
求助:谁会用matlab画图?
已经有13人回复
如何在matlab中绘制三维立体图
已经有13人回复
用Matlab软件如何画出三维荧光光谱图
已经有11人回复
【求助】如何获得matlab中当前fig图像的信息
已经有6人回复
matlab做函数图象的问题
已经有6人回复
【求助】matlab如何只读取图像的一部分?
已经有11人回复
用matlab画的图保存什么格式插入word里比较清楚?
已经有45人回复
【求助】柱形统计图matlab怎么画?
已经有4人回复
【求助】请教如何用matlab画出矢量图?
已经有3人回复
【求助】如何采用Matlab绘制电子云密度图
已经有8人回复
1楼
2013-05-19 10:19:12
已阅
回复此楼
关注TA
给TA发消息
送TA红花
TA的回帖
岚烟
铁虫
(初入文坛)
2楼
2013-05-20 14:50:58
已阅
回复此楼
关注TA
给TA发消息
送TA红花
TA的回帖
相关版块跳转
第一性原理
量子化学
计算模拟
分子模拟
仿真模拟
程序语言
我要订阅楼主
岚烟
的主题更新
2
1/1
返回列表
如果回帖内容含有宣传信息,请如实选中。否则帐号将被全论坛禁言
普通表情
龙
兔
虎
猫
百度网盘
|
360云盘
|
千易网盘
|
华为网盘
在新窗口页面中打开自己喜欢的网盘网站,将文件上传后,然后将下载链接复制到帖子内容中就可以了。
信息提示
关闭
请填处理意见
关闭
确定