| 查看: 818 | 回复: 5 | ||
[求助]
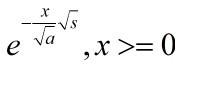
对这个方程求拉普拉斯逆变换
|
||
![]() |
||
|
|
||
|
2楼2013-05-04 14:10:13
|
|
|
【答案】应助回帖
» 本帖附件资源列表
2013-05-05 05:11:59, 1.6 K
|
||
|
3楼2013-05-04 14:12:23
|
|
|
|
4楼2013-05-04 14:14:40
|
|
|
![]() |
||
|
5楼2013-05-04 16:18:01
|
|
|
![]() |
||
|
6楼2013-05-04 16:19:06
|
|














回复此楼