| 查看: 2217 | 回复: 9 | ||||
yang0220木虫 (小有名气)
|
[求助]
关于循环伏安和恒电流求比容量的问题
|
|
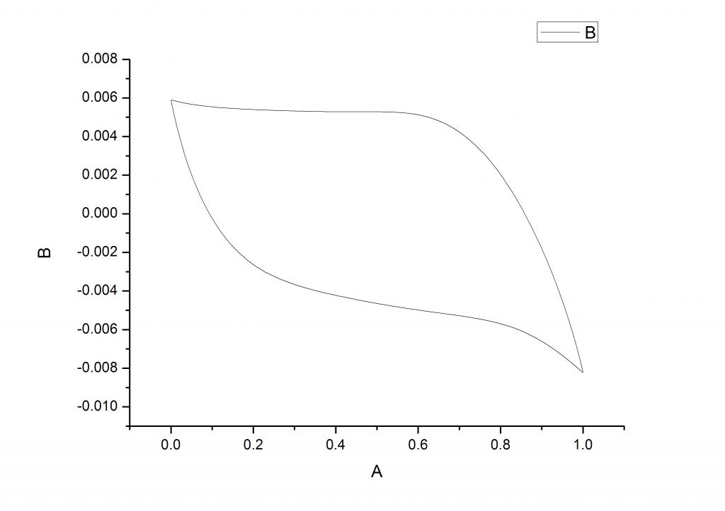
求助啊,我对同一样品采用CV和恒电流测试,图如下 采用 Cs=Q/mU=It/mU=I△t/m△U 计算,得出 Cs=0.075/m 但是采用CV积分后,s为0.0075758 Cs=s/2mUv=0.03787/m U为电压=1-0,v为扫数0.1V/s, m为电极质量 都是三电极体系, 我知道cv有点不准,但是为什么会相差一倍啊??? 求达人帮忙,不胜感激 cv.jpg i.JPG |
» 收录本帖的淘帖专辑推荐
电化学测试、图像以及分析 | 超级电容器 |
» 猜你喜欢
湖南农业大学能源材料创新团队招收2025化学专业研究生(学硕)调剂
已经有0人回复
2026年西华大学材料学院-材料近净成形与表面技术研究团队-招收调剂研究生
已经有9人回复
物理化学论文润色/翻译怎么收费?
已经有107人回复
调剂信息
已经有0人回复
华南理工0703化学,总分336求调剂
已经有11人回复
河北农大生物与医药专业招收调剂,名额充足
已经有0人回复
齐鲁工业大学 国家重点实验室-新能源、锂离子电池、材料、化学方向
已经有0人回复
一志愿前4位代码0703均可报名-河北大学分析化学专业招收调剂考生
已经有57人回复
★★爆★★0860生物与医药调剂考生看过来,河北大学化学与材料科学学院
已经有85人回复
杰青/长江团队招收调剂
已经有0人回复
中南林业科技大学罗勇锋教授团队2026年招收材料类调剂研究生
已经有0人回复
» 本主题相关价值贴推荐,对您同样有帮助:
循环伏安的峰电流和峰电位
已经有6人回复
关于循环伏安图的迷惑
已经有6人回复
循环伏安图问题
已经有10人回复
循环伏安法,电流超过极限,求助
已经有7人回复
循环伏安测试的时候电压和速度一般怎设置的,还有充放电的是电流和时间?
已经有5人回复
循环伏安曲线的析氢峰的问题
已经有4人回复
循环伏安和恒流充放电各自作用
已经有12人回复
循环伏安法(CV)测量,用到恒电位仪,是否用到了恒电流仪
已经有4人回复
循环伏安中还原峰电流为正的原因
已经有14人回复
聚苯胺用循环伏安法、恒电流充放电、电阻抗测试出来的图谱该怎么分析呢?
已经有10人回复
有关循环伏安的峰电流
已经有7人回复
【求助】循环伏安计算比电容具体
已经有10人回复
【求助】循环伏安+背景电流
已经有5人回复
【求助】关于循环伏安峰电流值问题
已经有10人回复
【求助】关于循环伏安测试的扫描速率问题
已经有15人回复
【求助】循环伏安曲线的问题,急
已经有11人回复
【求助】关于循环伏安曲线分析及基本问题
已经有3人回复
【求助】请问:对与甲醇的电催化氧化,循环伏安和计时电流曲线问题
已经有5人回复
【求助】循环伏安的峰电流问题
已经有16人回复
zlin
荣誉版主 (知名作家)
- ECEPI: 7
- 应助: 129 (高中生)
- 贵宾: 3.286
- 金币: 19893.6
- 散金: 6401
- 红花: 128
- 沙发: 1
- 帖子: 9400
- 在线: 771小时
- 虫号: 636132
- 注册: 2008-10-25
- 性别: GG
- 专业: 电化学
- 管辖: 电化学

2楼2013-05-02 21:42:16
yang0220
木虫 (小有名气)
- 应助: 0 (幼儿园)
- 金币: 2371.7
- 红花: 2
- 帖子: 299
- 在线: 180.2小时
- 虫号: 1396086
- 注册: 2011-09-09
- 专业: 电能储存与节电技术
3楼2013-05-03 08:42:48
zlin
荣誉版主 (知名作家)
- ECEPI: 7
- 应助: 129 (高中生)
- 贵宾: 3.286
- 金币: 19893.6
- 散金: 6401
- 红花: 128
- 沙发: 1
- 帖子: 9400
- 在线: 771小时
- 虫号: 636132
- 注册: 2008-10-25
- 性别: GG
- 专业: 电化学
- 管辖: 电化学

4楼2013-05-03 09:18:27
yang0220
木虫 (小有名气)
- 应助: 0 (幼儿园)
- 金币: 2371.7
- 红花: 2
- 帖子: 299
- 在线: 180.2小时
- 虫号: 1396086
- 注册: 2011-09-09
- 专业: 电能储存与节电技术
5楼2013-05-03 09:38:11
6楼2013-05-03 10:07:22
7楼2013-10-01 09:00:34
8楼2013-10-01 16:24:13
9楼2014-03-16 10:22:01
10楼2017-07-27 10:29:00














回复此楼
第一个计算出来的是用的恒电流法,0.075/m