| 查看: 1365 | 回复: 1 | ||
zhijunl06银虫 (初入文坛)
|
[交流]
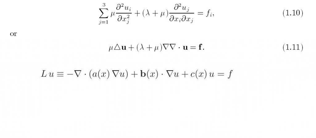
位移表示的弹性力学方程转化成二阶椭圆型偏微分方程标准形式 已有1人参与
|
» 本主题相关价值贴推荐,对您同样有帮助:
椭圆形偏微分方程标准化后该如何解?
已经有6人回复

2楼2013-11-19 17:23:04













回复此楼