| 查看: 3466 | 回复: 9 | ||
[求助]
如何计算形成热和结合能?
|
|
静态计算后得到三个能量 free energy TOTEN = -80.847236 eV energy without entropy= -80.849144 energy(sigma->0) = -80.847872 在计算形成热和结合能时,分别用哪个能量值? 谢谢各位啦 |
» 猜你喜欢
网上报道青年教师午睡中猝死、熬夜猝死的越来越多,主要哪些原因引起的?
已经有10人回复
为什么中国大学工科教授们水了那么多所谓的顶会顶刊,但还是做不出宇树机器人?
已经有13人回复
什么是人一生最重要的?
已经有8人回复
版面费该交吗
已经有17人回复
体制内长辈说体制内绝大部分一辈子在底层,如同你们一样大部分普通教师忙且收入低
已经有19人回复
【博士招生】太原理工大学2026化工博士
已经有8人回复
280求调剂
已经有4人回复
面上可以超过30页吧?
已经有12人回复
» 本主题相关价值贴推荐,对您同样有帮助:
请教大家一个关于压力、温度模拟的问题
已经有4人回复
结合能 与形成能的计算所需的数据选择
已经有5人回复
缺陷结合能和形成能
已经有30人回复
结合能和形成能
已经有8人回复
【求助】重金求计算ZnO或GaN等材料方面形成能,结合能,激活能的计算过程
已经有29人回复
【求助】形成能和结合能
已经有15人回复
【求助】形成能和结合能的物理意义
已经有6人回复
| ? |
2楼2013-04-25 09:35:10
感谢参与,应助指数 +1
|
本帖内容被屏蔽 |
3楼2013-04-25 09:57:26
★ ★ ★ ★ ★
感谢参与,应助指数 +1
墨明棋妙陈: 金币+5 2013-04-26 08:30:08
感谢参与,应助指数 +1
墨明棋妙陈: 金币+5 2013-04-26 08:30:08
|
本帖内容被屏蔽 |
4楼2013-04-25 13:35:36
5楼2013-04-25 13:51:26
6楼2013-11-22 15:07:19
7楼2013-11-23 16:51:05
|
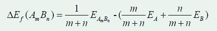
???~?@??????????????? ?????м????^??? ?@????????@?????f ?????? A B ??Y???? Ef -> formation energy A ?c B ??????????? m:n ?? m ????? A ?c n ????? B ?Y??r????????? ????? Ef(AB) = ( EAB - m*EA - n*EB )/ (m+n) EAB ????????????M??? bulk energy EA ?? A ???? bulk energy EB ?? B ???? bulk energy ???????????} ???????????????(????????) ????~??t???????????????????? ???@???????? EAB or EA or EB ????????? ???c?????@????????????????? ??????F???v???? EAB ??????????????? free energy ???? EA and EB ????? free energy ?????? differe ???v?? ?@????????~????^??? ???????? |
8楼2013-11-24 02:53:18

9楼2013-11-25 20:13:39
|
Formation heat is the energy absorbed or released by the substances after the reaction: the formation heat of an exothermic reaction is negative, i.e. the total energy of the resultants is lower than that of the reactants; on the contrary, the formation heat of an endothermic reaction is positive, i.e. the total energy of the resultants is greater than that of the reactants. The difficulty level of the formation of intermetallic compounds could be determined by the absolute value of formation heat: when the formation heat is negative, the absolute value would be greater, which indicates that it would be easier to form the intermetallic compound |
10楼2013-11-26 08:15:32













回复此楼
