| 查看: 2697 | 回复: 16 | ||
袁枝颖金虫 (小有名气)
|
[求助]
计时电量法求活性面积
|
|
|
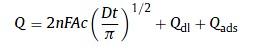
根据上面计时电位法怎么求出活性面积A的啊?Q是怎么得到的?Qdl、Qads是怎么得到的?费解,文献看不懂,D看有的文献是求出来的,有的说是固定值,谢谢! CKDZ8MG4J{G}O`MM738)T(5.jpg H)GY)[YCR8FMQN0GAY[XZN2.jpg [ Last edited by 袁枝颖 on 2013-4-18 at 13:28 ] |
» 猜你喜欢
海南师范大学2026年博士研究生招收 (在职想提升学历人员可报考) 申请考核制
已经有0人回复
锂离子电池循环寿命衰减过快,求机理分析与改进思路
已经有2人回复
物理化学论文润色/翻译怎么收费?
已经有107人回复
求博导收留
已经有6人回复
CSC & MSCA 博洛尼亚大学能源材料课题组博士/博士后招生|MSCA经费充足、排名优
已经有6人回复
德国Karlsruhe Institute of Technology招收电化学储能及联合培养CSC博士等
已经有20人回复
德国Karlsruhe Institute of Technology招收电化学储能及联合培养CSC博士
已经有22人回复
德国Karlsruhe Institute of Technology招收电化学储能及联合培养CSC博士
已经有1人回复
固态锂金属电池迁移数计算求助
已经有1人回复
荷兰奈梅亨大学赵文博与Galimberti课题组招收理论计算CSC博士 2000 欧元/月+房补
已经有0人回复
» 本主题相关价值贴推荐,对您同样有帮助:
上海辰华电化学工作站计时电位法做恒电流电沉积
已经有8人回复
计时电位图 为什么是这样?
已经有3人回复
电化学工作站计时电位参数设置?
已经有5人回复
CHI660D电化学工作站利用计时电位法进行恒流充放电
已经有12人回复
辰华-恒电流计时电位法测催化剂耐久性如何设参数?
已经有7人回复
真正懂上海华辰CHI计时电位法(CP)测试的进(2011-09-27至2011-11-30)
已经有12人回复
恒电流沉积(计时电位法)的参数设置
已经有12人回复
计时电量法测量表面积400 μC/cm-2 是什么意思?
已经有8人回复
【求助】电沉积钛基二氧化铅,CHI660b 用计时电位,总是超过10v自动跳断是怎么回事?
已经有3人回复
【求助】计时电位法参数如何设置?
已经有18人回复
【讨论】计时电流法就是恒电位法吗?
已经有9人回复
【求助】【请教】计时电位法参数设置
已经有5人回复
【求助】关于chi660c 计时电位法
已经有5人回复
【讨论】控制电位法与计时电流法的异同
已经有13人回复
【求助】怎样用计时电位法(CC)测金电极表面固定的DNA密度
已经有8人回复
求教:用辰华CHI660C的计时电位法测试电容器的循环充放电曲线
已经有11人回复
袁枝颖
金虫 (小有名气)
- 应助: 1 (幼儿园)
- 金币: 1318.4
- 散金: 87
- 红花: 8
- 帖子: 267
- 在线: 460.9小时
- 虫号: 1613036
- 注册: 2012-02-12
- 性别: MM
- 专业: 电化学分析
7楼2013-04-19 12:00:57
袁枝颖
金虫 (小有名气)
- 应助: 1 (幼儿园)
- 金币: 1318.4
- 散金: 87
- 红花: 8
- 帖子: 267
- 在线: 460.9小时
- 虫号: 1613036
- 注册: 2012-02-12
- 性别: MM
- 专业: 电化学分析
2楼2013-04-18 13:53:33
gzswyq
木虫 (正式写手)
- 应助: 17 (小学生)
- 金币: 1010.9
- 散金: 676
- 帖子: 510
- 在线: 90.8小时
- 虫号: 115659
- 注册: 2005-11-24
- 性别: GG
- 专业: 电化学
3楼2013-04-18 14:14:46
袁枝颖
金虫 (小有名气)
- 应助: 1 (幼儿园)
- 金币: 1318.4
- 散金: 87
- 红花: 8
- 帖子: 267
- 在线: 460.9小时
- 虫号: 1613036
- 注册: 2012-02-12
- 性别: MM
- 专业: 电化学分析
4楼2013-04-18 15:22:08
袁枝颖
金虫 (小有名气)
- 应助: 1 (幼儿园)
- 金币: 1318.4
- 散金: 87
- 红花: 8
- 帖子: 267
- 在线: 460.9小时
- 虫号: 1613036
- 注册: 2012-02-12
- 性别: MM
- 专业: 电化学分析
5楼2013-04-18 16:57:30
huangtieqi
银虫 (小有名气)
- 应助: 11 (小学生)
- 金币: 969.3
- 散金: 29
- 红花: 1
- 帖子: 300
- 在线: 177.8小时
- 虫号: 1390801
- 注册: 2011-09-05
- 性别: GG
- 专业: 电化学

6楼2013-04-19 11:34:01
祝福祝福祝福祝福祝福祝福! |
8楼2013-04-19 12:41:25
huangtieqi
银虫 (小有名气)
- 应助: 11 (小学生)
- 金币: 969.3
- 散金: 29
- 红花: 1
- 帖子: 300
- 在线: 177.8小时
- 虫号: 1390801
- 注册: 2011-09-05
- 性别: GG
- 专业: 电化学

9楼2013-04-19 16:04:13
Skater_Boy
禁虫 (小有名气)
|
本帖内容被屏蔽 |
10楼2013-04-19 20:59:16













回复此楼
冷鹰飞