| 查看: 791 | 回复: 1 | ||
盗版帅哥木虫 (初入文坛)
|
[求助]
关于I-t曲线的问题
|
|
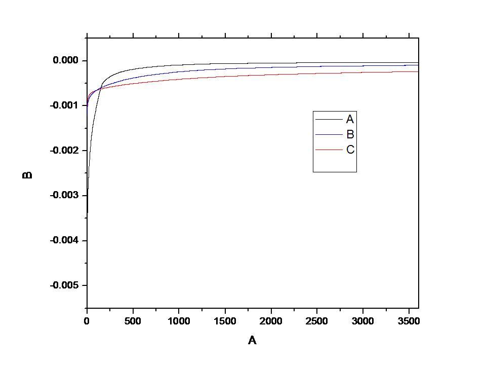
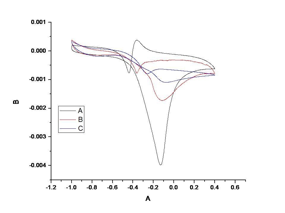
各位大神,小弟做甲醇电催化,但是做了好几次之后发现催化效果最好的样品其I-t曲线显示的稳定是最不好的。一般来看峰电流最大的稳定性也是最好的,但是我的样品却出现了与理论相反的情况,是怎么回事呢?跪求大神解答! 有图有真相,求解答! 1.jpg 演示文稿1.jpg |
» 猜你喜欢
大连工业大学招收储能电池方向博士1名
已经有0人回复
《把心放慢,世界就会温柔起来》
已经有0人回复
物理化学论文润色/翻译怎么收费?
已经有188人回复
钠离子硬碳负极扣式半电池组装都没有电流!!!
已经有2人回复
Ni元素XPS分析
已经有1人回复
广东以色列理工材料系能源与电子材料课题组——博士(以色列理工学位)
已经有3人回复
青岛大学化学化工学院分子测量学研究院2026年招收博士研究生
已经有0人回复
求一份origin2019以上版本的origin软件压缩包
已经有1人回复
电化学基础知识与资源网站
已经有2人回复
宁夏大学国家重点实验室膜分离课题组招收2026级博士生
已经有0人回复
» 本主题相关价值贴推荐,对您同样有帮助:
光电流测试I-T曲线测试原理
已经有11人回复
关于葡萄糖氧化阶梯曲线的一些疑问
已经有22人回复
关于用电化学工作站中amperometric current-time 方法问题
已经有4人回复
请教有关葡萄糖传感i-t曲线,浓度线性范围的问题
已经有6人回复
时间电流曲线如何做?
已经有15人回复
关于时间-电流曲线的问题
已经有9人回复
无酶葡萄糖传感器之i-t曲线
已经有8人回复
时间-电流图的相关问题
已经有10人回复
i-t曲线
已经有8人回复
i-t曲线异常现象怎么解决
已经有6人回复
i-t曲线如何设置
已经有8人回复
电流-时间曲线为什么趋近于零?
已经有10人回复
散金币 求电化学I-T曲线中的灵敏度如何计算
已经有9人回复
【求助】关于用计时电流来定量的问题
已经有7人回复
【求助】i-t曲线的形状不好
已经有3人回复
【求助】chronoamperometry参数的设置
已经有14人回复

a781170782
新虫 (初入文坛)
- 应助: 0 (幼儿园)
- 金币: 50.1
- 沙发: 1
- 帖子: 28
- 在线: 11.7小时
- 虫号: 4235077
- 注册: 2015-11-21
- 性别: GG
- 专业: 材料物理化学
2楼2017-09-06 00:10:24













回复此楼