| 查看: 861 | 回复: 2 | ||
[求助]
怎么解二维能量平衡的偏微分方程
|
|
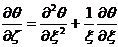
熔融纺丝纤维的二维能量平衡方程如图所示。 其中theta是无量纲温度,zeta是无量纲时间,kesi是无量纲距离。 文献中说用Crank-Nicolson法求解。 弄了半天也没搞清楚。数学我是菜鸟,高数都补考过。 ![]() 有哪位大侠帮帮我吧。 ![]() 无标题.png |
» 猜你喜欢
为什么nbs上溴 没有产物点出现呢
已经有9人回复
拟解决的关键科学问题还要不要写
已经有9人回复
为什么一个当量的苯甲醛反应不完呢
已经有5人回复
招博士
已经有3人回复
存款400万可以在学校里躺平吗
已经有35人回复
最失望的一年
已经有18人回复
求推荐博导
已经有4人回复
求助一下有机合成大神
已经有4人回复
求推荐英文EI期刊
已经有5人回复
基金委咋了?2026年的指南还没有出来?
已经有10人回复
【答案】应助回帖
★ ★ ★ ★
感谢参与,应助指数 +1
臭水沟: 金币+2, 学好数值分析,用处真大~ 2013-04-15 22:58:32
akang9: 金币+2 2013-04-16 21:25:04
感谢参与,应助指数 +1
臭水沟: 金币+2, 学好数值分析,用处真大~ 2013-04-15 22:58:32
akang9: 金币+2 2013-04-16 21:25:04
|
Crank-Nicolson是一种把偏微分方程离散的差分格式 可以见帕坦卡的4.3节,有详细的叙述:http://muchong.com/bbs/viewthread.php?tid=5766881 差分格式有很多种,其实这个方程的求解也不一定非用这种格式,但你可以先试试这种方法 差分而已,用不着什么高深的理论知识,至少对这个问题,你有高中数学水平就够了 把里面的每项差分,得到代数方程组,然后求解这个代数方程组就好 先看看那本书先,也可以参照着任意一本《传热学》的课本看看,在其导热的部分有类似的方程求解过程 |
2楼2013-04-15 21:50:41
3楼2013-04-16 21:24:05















回复此楼