| 查看: 272 | 回复: 1 | ||
xp2012808荣誉版主 (职业作家)
|
[求助]
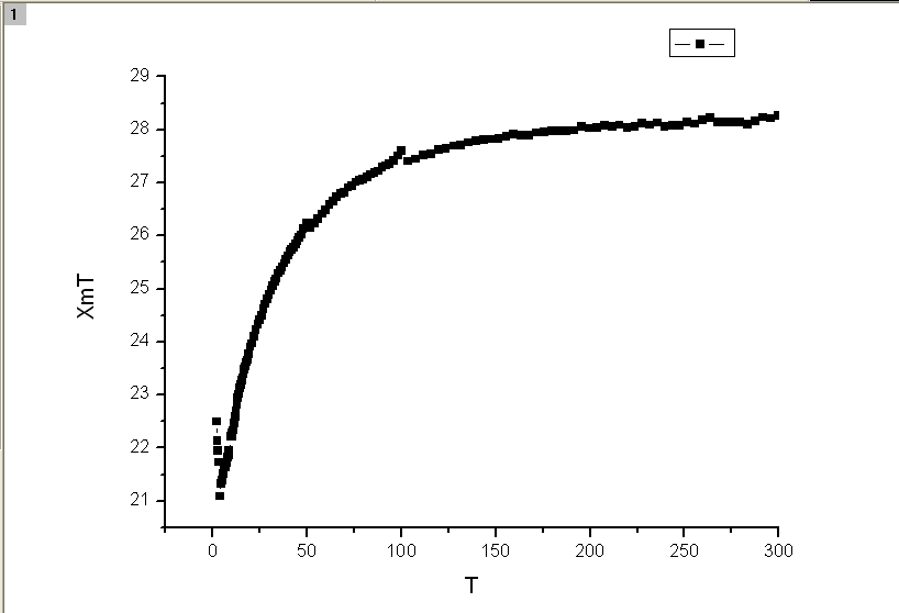
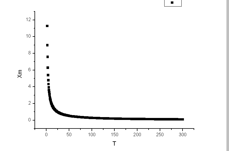
稀土双核Dy,磁性数据感觉有问题
|
|
感觉XmT在低温下有点上升,不知道是怎么回事,该怎么解释或者再测试些什么? 能够说明是什么磁性,非常感谢! [ Last edited by xp2012808 on 2013-4-12 at 15:12 ] |
» 猜你喜欢
首都师范大学化学系田洋课题组专硕招调剂生
已经有10人回复
广州大学大湾区环境研究院环境大分子材料研究所王平山教授团队 2026年研究生招生简章
已经有0人回复
无机化学论文润色/翻译怎么收费?
已经有68人回复
天津理工大学
已经有0人回复
台州学院有序多孔材料团队最后冲刺,同学们别错过哦,请速联系!
已经有0人回复
江西科技师范大学物理化学课题组接收调剂生,名额还有,速来
已经有0人回复
求碳酸钠和碳酸氢钠的晶胞结构图或晶体结构图
已经有0人回复
求碳酸钠和碳酸氢钠的晶胞结构图或晶体结构图
已经有0人回复

xp2012808
荣誉版主 (职业作家)
- 应助: 170 (高中生)
- 贵宾: 2.228
- 金币: 29233.2
- 散金: 2546
- 红花: 45
- 沙发: 12
- 帖子: 4272
- 在线: 1432.1小时
- 虫号: 1789020
- 注册: 2012-05-01
- 专业: 结构化学
- 管辖: 有机资源

2楼2013-04-12 17:18:02














回复此楼