24小时热门版块排行榜    

查看: 770  |  回复: 0

zhijunl06

银虫 (初入文坛)

[求助] 求高手把位移表示的弹性力学方程化为二阶椭圆形偏微分方程标准形式

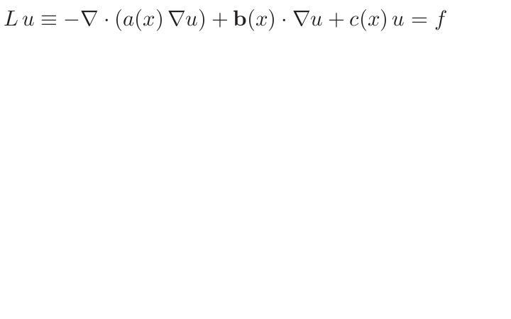
求高手把位移向量表示的弹性力学方程化为二阶椭圆形偏微分方程标准形式(形式在附件图中),并指出方程中各个系数a,b和c的具体形式(方程中u是位移向量)

未命名.JPG
回复此楼

» 猜你喜欢

已阅   回复此楼   关注TA 给TA发消息 送TA红花 TA的回帖

智能机器人

Robot (super robot)

我们都爱小木虫

找到一些相关的精华帖子,希望有用哦~

科研从小木虫开始,人人为我,我为人人
相关版块跳转 我要订阅楼主 zhijunl06 的主题更新
最具人气热帖推荐 [查看全部] 作者 回/看 最后发表
[考研] 293求调剂 +3 涛涛Wjt 2026-03-22 5/250 2026-03-22 22:21 by jiangpengfei
[考研] 298求调剂一志愿211 +3 上岸6666@ 2026-03-20 3/150 2026-03-22 15:50 by ColorlessPI
[考研] 269专硕求调剂 +6 金恩贝 2026-03-21 6/300 2026-03-22 14:31 by ColorlessPI
[考研] 求调剂 +7 Auroracx 2026-03-22 7/350 2026-03-22 12:38 by 素颜倾城1988
[基金申请] 山东省面上项目限额评审 +4 石瑞0426 2026-03-19 4/200 2026-03-22 08:50 by Wei_ren
[考研] 一志愿深大,0703化学,总分302,求调剂 +4 七月-七七 2026-03-21 4/200 2026-03-21 18:20 by 学员8dgXkO
[考研] 297求调剂 +11 戏精丹丹丹 2026-03-17 12/600 2026-03-21 17:47 by ColorlessPI
[考研] 336求调剂 +5 rmc8866 2026-03-21 5/250 2026-03-21 17:24 by 学员8dgXkO
[考研] 一志愿重庆大学085700资源与环境总分308求调剂 +7 墨墨漠 2026-03-20 7/350 2026-03-21 16:36 by barlinike
[考研] 求调剂 +3 .m.. 2026-03-21 4/200 2026-03-21 16:25 by barlinike
[考研] 279分求调剂 一志愿211 +14 chaojifeixia 2026-03-19 15/750 2026-03-21 13:24 by zhukairuo
[考研] 083200学硕321分一志愿暨南大学求调剂 +3 innocenceF 2026-03-17 3/150 2026-03-21 02:35 by JourneyLucky
[考研] 332求调剂 +4 ydfyh 2026-03-17 4/200 2026-03-21 02:20 by JourneyLucky
[考研] 一志愿 西北大学 ,070300化学学硕,总分287,双非一本,求调剂。 +4 晨昏线与星海 2026-03-19 4/200 2026-03-20 22:15 by JourneyLucky
[考研] 一志愿西安交通大学 学硕 354求调剂211或者双一流 +3 我想要读研究生 2026-03-20 3/150 2026-03-20 20:13 by JourneyLucky
[考研] 环境工程调剂 +9 大可digkids 2026-03-16 9/450 2026-03-20 17:38 by 醉在风里
[考研] 求调剂 +3 暗涌afhb 2026-03-16 3/150 2026-03-20 00:28 by 河南大学校友
[考研] 081700化工学硕调剂 +3 【1】 2026-03-16 3/150 2026-03-19 23:40 by edmund7
[考研] 有没有道铁/土木的想调剂南林,给自己招师弟中~ +3 TqlXswl 2026-03-16 7/350 2026-03-17 15:23 by TqlXswl
[考研] 一志愿苏州大学材料工程(085601)专硕有科研经历三项国奖两个实用型专利一项省级立项 +6 大火山小火山 2026-03-16 8/400 2026-03-17 15:05 by 无懈可击111
信息提示
请填处理意见