| ²é¿´: 1210 | »Ø¸´: 1 | |
z272820204ͳæ (СÓÐÃûÆø)
|
[ÇóÖú]
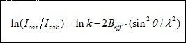
ÓÐЧζÈϵÊýµÄ¼ÆËã XRD
|
|
|
|
z272820204ͳæ (СÓÐÃûÆø)
|
|
|
2Â¥2013-04-08 08:47:09
|
|















»Ø¸´´ËÂ¥
ÓÐûÓÐÖªµÀµÄ£¿Çó¸ßÊÖÖ¸µ¼°¡£¡