版块导航
正在加载中...
客户端APP下载
论文辅导
申博辅导
登录
注册
帖子
帖子
用户
本版
应《网络安全法》要求,自2017年10月1日起,未进行实名认证将不得使用互联网跟帖服务。为保障您的帐号能够正常使用,请尽快对帐号进行手机号验证,感谢您的理解与支持!
24小时热门版块排行榜
>
论坛更新日志
(2764)
>
虫友互识
(180)
>
文献求助
(132)
>
导师招生
(110)
>
考博
(56)
>
休闲灌水
(54)
>
论文投稿
(41)
>
基金申请
(36)
>
招聘信息布告栏
(35)
>
考研
(32)
>
硕博家园
(31)
>
博后之家
(30)
>
公派出国
(29)
>
找工作
(25)
>
论文道贺祈福
(23)
>
教师之家
(22)
小木虫论坛-学术科研互动平台
»
化学化工区
»
环境
»
污染控制
»
求解释这张图出现的现象
3
1/1
返回列表
查看: 499 | 回复: 2
只看楼主
@他人
存档
新回复提醒
(忽略)
收藏
在APP中查看
成林哲宇
金虫
(小有名气)
应助: 21
(小学生)
金币: 583.1
红花: 2
帖子: 203
在线: 52.9小时
虫号: 1484724
注册: 2011-11-09
性别:
MM
专业: 环境工程
[
求助
]
求解释这张图出现的现象
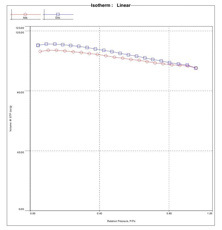
下图为我做的BET结果,大家有没有人能解释一下这两张图么。???实在是着急啊。。。主要是能看出哪张图有问题,并说出原因。谢谢各位了。
BET.jpg
bet2.jpg
回复此楼
» 猜你喜欢
江苏大学国家优青课题组招催化/能源/生物方向硕士博士生
已经有19人回复
氧化亚铜干燥
已经有11人回复
化学工程及工业化学论文润色/翻译怎么收费?
已经有288人回复
力劲智能压铸高新科技厂区新建项目第一阶段投产工序竣工环境保护验收公示
已经有0人回复
硫酸铜结晶粒度
已经有0人回复
2026年申博自荐
已经有0人回复
Bioresource Technology期刊,第一次返修的时候被退回好几次了
已经有9人回复
求助NH2-MIL-88B(Fe)和MIL-88B(Fe)的cif
已经有0人回复
浙江大学徐腾飞研究员招聘环境污染与健康、组学分析、生信、模拟计算等背景博士后
已经有6人回复
浙江大学徐腾飞研究员招聘环境科学、组学分析、生信、环境科学、模拟计算等背景博士后
已经有1人回复
浙江大学徐腾飞研究员招聘代谢组学、蛋白组学、生信、环境科学、模拟计算等背景博士后
已经有2人回复
» 本主题相关价值贴推荐,对您同样有帮助:
[红外]环的张力对波数的影响..求解答
已经有4人回复
峰值信噪比PSNR,出现这种现象怎么解释?谢谢!
已经有5人回复
一张电极修饰阻抗图,图线下方圆弧很小,求牛人解释...
已经有4人回复
减压蒸馏怪现象求解释
已经有8人回复
哪位高手能帮忙解释一下这张DSC图谱?
已经有9人回复
麻烦各位大侠解释一下这两张图片
已经有3人回复
请教一张拉曼图中文翻译
已经有8人回复
帮忙解释下 blastx 图一张
已经有3人回复
[求助]用全量子理论解释一个你熟悉的物理现象
已经有18人回复
第一次做TPR,帮忙看看这张图怎么解释
已经有4人回复
pcr过程中遇到的诡异现象,求高手解释一下
已经有8人回复
[求助]matlab中用notebook画图,一个cell多个画图命令只能出一张图,何解?
已经有7人回复
奇怪现象(爬板)求解释
已经有28人回复
这张红外光谱图要怎么解析?就是想能不能找到Ti-O键的波长!谢谢大家!!
已经有5人回复
求解释偏晶、亚偏晶、过偏晶合金、再辉现象
已经有11人回复
求助高人帮分析下这张孔径分布图,感觉矛盾,解释不通呀!
已经有10人回复
【求助】母亲经常会出现流汗的现象,麻烦大家给解释一下!
已经有16人回复
【求助】求解释一张TEM图片的电子衍射花样。。。
已经有6人回复
求助,解释特殊数学物理现象,仅有几个金币,全部发放。
已经有4人回复
【求助】这张透射电镜TEM照片怎么解释
已经有25人回复
【交流】这张是第一类永动机的图片吗?谁来解释下怎么回事?
已经有7人回复
朝着环境工程领域进军!!!
1楼
2013-04-01 13:23:24
已阅
关注TA
给TA发消息
送TA红花
TA的回帖
lwei12281
铁虫
(著名写手)
应助: 54
(初中生)
金币: 8205
散金: 16
红花: 1
帖子: 1870
在线: 172.1小时
虫号: 1801597
注册: 2012-05-07
性别:
MM
专业: 区域环境化学
感谢参与,应助指数 +1
TonyGeN: 应助指数-1, 无法构成有效应助 感谢理解 欢迎常来交流
2013-04-01 17:05:13
日子太特殊了今天,不懂的路过
赞
一下
回复此楼
2楼
2013-04-01 13:28:33
已阅
关注TA
给TA发消息
送TA红花
TA的回帖
成林哲宇
金虫
(小有名气)
应助: 21
(小学生)
金币: 583.1
红花: 2
帖子: 203
在线: 52.9小时
虫号: 1484724
注册: 2011-11-09
性别:
MM
专业: 环境工程
有哪位大神来帮我看看呢??
赞
一下
回复此楼
朝着环境工程领域进军!!!
3楼
2013-04-07 10:49:51
已阅
关注TA
给TA发消息
送TA红花
TA的回帖
相关版块跳转
有机交流
有机资源
高分子
无机/物化
分析
催化
工艺技术
化工设备
石油化工
精细化工
电化学
环境
SciFinder/Reaxys
我要订阅楼主
成林哲宇
的主题更新
3
1/1
返回列表
信息提示
关闭
请填处理意见
关闭
确定