| 查看: 2052 | 回复: 46 | |||||||
| 【奖励】 本帖被评价41次,作者zhaoclong增加金币 32.6 个 | |||||||
[资源]
Angew. Chem. Int. Ed.最新文献-La0.75Sr0.25MnO3 Nanotubes作为锂氧电池的高效电极
|
|||||||
|
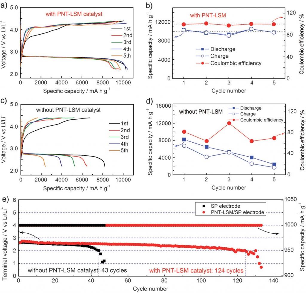
2013.4.2的期刊,使用热还原法制备La0.75Sr0.25MnO3 Nanotubes ,作为锂氧电池的电极材料有效的改进了电池的性能。具体制备流程,示意图,性能参看图片。 无标题.jpg 1.jpg 22.jpg |
» 本帖附件资源列表
-
欢迎监督和反馈:小木虫仅提供交流平台,不对该内容负责。
本内容由用户自主发布,如果其内容涉及到知识产权问题,其责任在于用户本人,如对版权有异议,请联系邮箱:xiaomuchong@tal.com - 附件 1 : SynthesisofPerovskite-BasedPorousLa0.75Sr0.25MnO3Nanotubesas.pdf
- 附件 2 : SynthesisofPerovskite-BasedPorousLa0.75Sr0.25MnO3Nanotubesas-supportinginformation.pdf
2013-03-31 09:14:50, 1 M
2013-03-31 09:22:20, 1.23 M
» 收录本帖的淘帖专辑推荐
锂离子电池研究 | 资源收集 | 文献推荐 | 电化学电源、电源管理 |
电化学 |
» 猜你喜欢
招贤纳博(已结束)
已经有29人回复
表征测试机构后台私聊我
已经有0人回复
物理化学论文润色/翻译怎么收费?
已经有222人回复
Coordination Chemistry Reviews
已经有1人回复
请问现在还有电池材料方向的博导招人吗
已经有4人回复
» 本主题相关商家推荐: (我也要在这里推广)
» 本主题相关价值贴推荐,对您同样有帮助:
大家觉得投稿Nature Communications和Angew. Chem.-Int. Edit.哪个更好?
已经有7人回复
Rabenau A. Angew Chem Int Ed Engl ,1985,97:1017
已经有8人回复
Angewandte Chemie和Angew.Chem.Int.Ed,不是同一个杂志么?
已经有7人回复
Angew. Chem. Int. Ed.2009, 48 , 6201 – 6204请问这里的48是卷还是期
已经有5人回复
Angew. Chem. 与Angew. Chem. Int. Ed 的区别
已经有9人回复
哪位好心人能给我一份 JACS 和 Angew. Chem., Int. Ed 的模板
已经有3人回复
这几个杂志(JACS、 Angew. Chem. Int. Ed、Advanced Materials )哪个更厉害些?
已经有68人回复
ANGEW CHEM INT EDIT(德国应用化学)投稿真的很难吗?
已经有6人回复
Angewandte Chemie和Angew.Chem.Int.Ed有啥区别
已经有5人回复
Angew Chem Int Ed投稿
已经有20人回复
请教Angew. Chem. Int. Ed审稿周期?
已经有10人回复
Angew.Chem.Int.Ed 被据,编辑审稿人一致建议改投姐妹杂志,接收的几率多大?
已经有34人回复
【求助】angew.chem.int.ed 的写作模板在哪里下载
已经有5人回复
如何查看angew chem int ed投稿状态
已经有13人回复
31楼2013-04-03 00:01:27
40楼2013-04-07 11:42:58
简单回复
2013-03-31 09:37
回复
五星好评 顶一下,感谢分享!
抹云一公3楼
2013-03-31 10:33
回复
五星好评 顶一下,感谢分享!
unss4楼
2013-03-31 12:40
回复
五星好评 顶一下,感谢分享!
上官云天5楼
2013-03-31 12:49
回复
五星好评 顶一下,感谢分享!
janms6楼
2013-03-31 13:48
回复
五星好评 顶一下,感谢分享!
zcm3087楼
2013-03-31 13:54
回复
五星好评 顶一下,感谢分享!
2013-03-31 16:04
回复
五星好评 顶一下,感谢分享!
涵筱9楼
2013-03-31 16:49
回复
五星好评 顶一下,感谢分享!
涵筱10楼
2013-03-31 16:50
回复
顶一下,感谢分享!
chdh11楼
2013-03-31 19:13
回复
五星好评 顶一下,感谢分享!
小中子12楼
2013-03-31 20:06
回复
五星好评 顶一下,感谢分享!
kknife13楼
2013-03-31 22:18
回复
五星好评 顶一下,感谢分享!
sugeng199614楼
2013-04-01 06:54
回复
五星好评 顶一下,感谢分享!
lyliuxm15楼
2013-04-01 08:29
回复
五星好评 顶一下,感谢分享!
lyliuxm16楼
2013-04-01 08:30
回复
顶一下,感谢分享!
yongbocao17楼
2013-04-01 08:54
回复
五星好评 顶一下,感谢分享!
yongbocao18楼
2013-04-01 08:54
回复
顶一下,感谢分享!
sxf52519楼
2013-04-01 08:59
回复
五星好评 顶一下,感谢分享!
sxf52520楼
2013-04-01 09:02
回复
顶一下,感谢分享!
Dog__H21楼
2013-04-01 09:32
回复
五星好评 顶一下,感谢分享!
w_wwb22楼
2013-04-01 14:12
回复
五星好评 顶一下,感谢分享!
yinmengyuhen23楼
2013-04-02 07:57
回复
五星好评 顶一下,感谢分享!
nanost24楼
2013-04-02 10:52
回复
五星好评 顶一下,感谢分享!
beyond_zj25楼
2013-04-02 11:03
回复
五星好评 顶一下,感谢分享!
五估子26楼
2013-04-02 11:09
回复
五星好评 顶一下,感谢分享!
080929327楼
2013-04-02 12:25
回复
五星好评 顶一下,感谢分享!
tianyiking28楼
2013-04-02 17:41
回复
五星好评 顶一下,感谢分享!
步千里29楼
2013-04-02 18:54
回复
五星好评 顶一下,感谢分享!
zhaoyang89030楼
2013-04-02 22:20
回复
五星好评 顶一下,感谢分享!
jackxun32楼
2013-04-03 07:00
回复
五星好评 顶一下,感谢分享!
jxdyh86833楼
2013-04-03 08:48
回复
五星好评 顶一下,感谢分享!
2013-04-03 09:18
回复
五星好评 顶一下,感谢分享!
guqingwen35楼
2013-04-03 09:19
回复
五星好评 顶一下,感谢分享!
simbagl36楼
2013-04-03 14:51
回复
五星好评 顶一下,感谢分享!
YangZhigao37楼
2013-04-03 20:34
回复
五星好评 顶一下,感谢分享!
wu_gang100038楼
2013-04-05 11:04
回复
五星好评 顶一下,感谢分享!
huihui31539楼
2013-04-06 19:19
回复
五星好评 顶一下,感谢分享!
sweety_303241楼
2013-04-07 15:56
回复
五星好评 顶一下,感谢分享!
herome123442楼
2013-04-07 19:23
回复
五星好评 顶一下,感谢分享!
羽之湮43楼
2013-05-22 12:34
回复
五星好评 顶一下,感谢分享!
jluyoung44楼
2013-08-03 13:37
回复
五星好评 顶一下,感谢分享!
huihui31545楼
2013-08-03 18:40
回复
顶一下,感谢分享!
sylar46楼
2013-08-03 19:11
回复
五星好评 顶一下,感谢分享!
delphoenix47楼
2014-04-25 13:23
回复
五星好评 顶一下,感谢分享!













回复此楼

