| 查看: 877 | 回复: 7 | |
| 当前只显示满足指定条件的回帖,点击这里查看本话题的所有回帖 | |
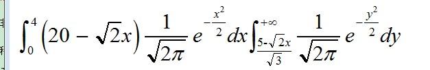
[求助]
积分怎么求
|
|
|
|
|
|
3楼2013-03-31 22:30:05
|
|
| 查看全部 8 个回答 | |
vect至尊木虫 (著名写手)
|
|
|
2楼2013-03-31 21:55:23
|
|
895701777木虫 (著名写手)
进城农民工
|
|
![]() |
|
|
4楼2013-04-01 13:09:16
|
|
|
5楼2013-04-02 22:30:51
|
|













回复此楼
