| 查看: 906 | 回复: 7 | |
[求助]
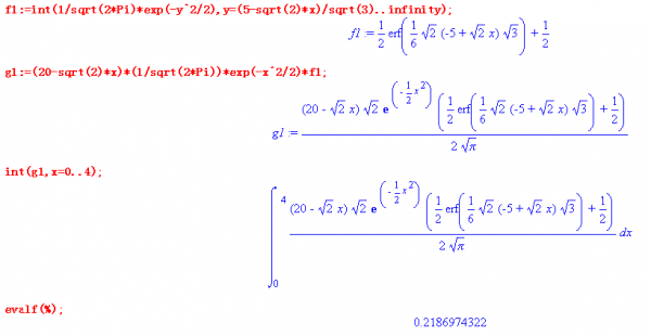
积分怎么求
|
|
|
|
|
vect至尊木虫 (著名写手)
|
|
|
2楼2013-03-31 21:55:23
|
|
|
3楼2013-03-31 22:30:05
|
|
895701777木虫 (著名写手)
进城农民工
|
|
![]() |
|
|
4楼2013-04-01 13:09:16
|
|
|
5楼2013-04-02 22:30:51
|
|
wyydxs新虫 (正式写手)
|
|
|
6楼2013-06-21 19:28:40
|
|
![]() |
|
|
7楼2013-06-22 09:56:17
|
|
billiards至尊木虫 (著名写手)
|
|
|
8楼2013-06-22 12:42:59
|
|













回复此楼


6