| ²é¿´: 3638 | »Ø¸´: 10 | ||
snow_mountÌú³æ (СÓÐÃûÆø)
|
[ÇóÖú]
originÄâºÏÖÐÓöµ½µÄ¹ÖÏÖÏó£¬Çë½Ì
|
|
ÀíÂÛ¼ÆËã¼°Èí¼þµÄʹÓà |
» ²ÂÄãϲ»¶
0702Ò»Ö¾Ô¸¼ª´óBÇøÇóµ÷¼Á ±¾¿ÆÆÚ¼ä·¢±íһƪSci
ÒѾÓÐ2È˻ظ´
070200Çóµ÷¼Á£¬Ò»Ö¾Ô¸Ä³211£¬288·Ö
ÒѾÓÐ18È˻ظ´
ÎïÀíѧIÂÛÎÄÈóÉ«/·ÒëÔõôÊÕ·Ñ?
ÒѾÓÐ59È˻ظ´
·¨¹ú²©Ê¿ºóְλ
ÒѾÓÐ0È˻ظ´
ÖØÇì½»´ó26Äê˶ʿÉúÕÐÉúÄâµ÷¼Á֪ͨÒѳö£¡»¶Ó¼ÓÈë»úÆ÷ÊÓ¾õÓë3D¹âѧ³ÉÏñ¿ÎÌâ×é¡£
ÒѾÓÐ0È˻ظ´
**
ÒѾÓÐ1È˻ظ´
0702Ò»Ö¾Ô¸¼ª´óBÇøÇóµ÷¼Á ±¾¿ÆÆÚ¼ä·¢±íһƪSci
ÒѾÓÐ3È˻ظ´
»ùµ×STO,±¡Ä¤SRO£¬XRDÀïÃæµÄÕñµ´£¬ÊÇlaueÕðµ´»¹ÊÇkiessigÕñµ´? ÔõôÅжϣ¿
ÒѾÓÐ0È˻ظ´
BÇøÑ§Éúµ÷¼Á-À¼Öݽ»Í¨´óѧ²ÄÁÏ¿ÆÑ§Ó빤³ÌѧԺ
ÒѾÓÐ2È˻ظ´
» ±¾Ö÷ÌâÏà¹Ø¼ÛÖµÌùÍÆ¼ö£¬¶ÔÄúͬÑùÓаïÖú:
ÇóÖúoriginÇúÏßÄâºÏµÄÒ»¸öÎÊÌâ
ÒѾÓÐ6È˻ظ´
originÄâºÏ³öÏÖfit did not converge£¬ÄâºÏ³öÀ´ÊÇÒ»ÌõÖ±Ïß
ÒѾÓÐ4È˻ظ´
originÄâºÏlangmuirÄ£ÐͳöÏÖµÄÎÊÌâ
ÒѾÓÐ7È˻ظ´
ÇëÎÊÓÐÈË»áÓÃoriginÄâºÏÊý¾ÝÓÃ×Ô¶¨ÒåµÄ¹«Ê½Ã´£¿¼±¼±£¡
ÒѾÓÐ8È˻ظ´
origin ÄâºÏÇúÏßÎÊÌâ
ÒѾÓÐ9È˻ظ´
originÄâºÏ³öµÄ²»Í¬ÇúÏß ÈçºÎÔÚÒ»¸öͼÖе¼³ö £¬Ð»ÁË
ÒѾÓÐ9È˻ظ´
originÖ¸ÊýÄâºÏ³ö´í£¬´ó¼Ò°ïæ
ÒѾÓÐ9È˻ظ´
¹ØÓÚoriginÇúÏßÄâºÏ
ÒѾÓÐ6È˻ظ´
ÇóÖú£ºorigin¸ß˹ÄâºÏ
ÒѾÓÐ10È˻ظ´
origin ÇúÏßÄâºÏÇóÖú£¬¸ßÊÖÇë½ø
ÒѾÓÐ11È˻ظ´
origin·ÇÏßÐÔÄâºÏ
ÒѾÓÐ4È˻ظ´
originÄâºÏÇóÖú
ÒѾÓÐ6È˻ظ´
ÓйØoriginÇúÏßÄâºÏµÄÎÊÌâ
ÒѾÓÐ7È˻ظ´
ÔõôÓÃOriginÄâºÏ³ö¹ýÔµãµÄÇúÏß
ÒѾÓÐ4È˻ظ´
ÔõôÓÃoriginÄâºÏµÂ°ÝÀíÂÛ
ÒѾÓÐ17È˻ظ´
Çë½ÌÈçºÎÓÃorigin ¶ÔÖù״ͼÊý¾ÝÄâºÏ
ÒѾÓÐ3È˻ظ´
ÇóÖúOrigin×îС¶þ³Ë·½ÄâºÏ
ÒѾÓÐ4È˻ظ´
ÇóÖúOrigin8.0ÄâºÏ·½³Ì
ÒѾÓÐ6È˻ظ´
Çë½ÌoriginÄâºÏʱ ²ÎÊýµÄСÊýλÊýÎÊÌâ
ÒѾÓÐ4È˻ظ´
¡¾ÇóÖú¡¿originÇúÏßÄâºÏÎÊÌâ
ÒѾÓÐ2È˻ظ´
¡¾ÇóÖú¡¿ÔõÑùÓÃoriginÄâºÏ¶¯µçλ¼«»¯ÇúÏߵõ½¼«»¯µç×裿
ÒѾÓÐ12È˻ظ´

snow_mount
Ìú³æ (СÓÐÃûÆø)
- Ó¦Öú: 3 (Ó×¶ùÔ°)
- ½ð±Ò: 29.8
- É¢½ð: 55
- Ìû×Ó: 58
- ÔÚÏß: 9.9Сʱ
- ³æºÅ: 948572
- ×¢²á: 2010-01-26
- ÐÔ±ð: GG
- רҵ: Äý¾Û̬ÎïÐÔI:½á¹¹¡¢Á¦Ñ§ºÍ

10Â¥2013-03-19 10:20:54
snow_mount
Ìú³æ (СÓÐÃûÆø)
- Ó¦Öú: 3 (Ó×¶ùÔ°)
- ½ð±Ò: 29.8
- É¢½ð: 55
- Ìû×Ó: 58
- ÔÚÏß: 9.9Сʱ
- ³æºÅ: 948572
- ×¢²á: 2010-01-26
- ÐÔ±ð: GG
- רҵ: Äý¾Û̬ÎïÐÔI:½á¹¹¡¢Á¦Ñ§ºÍ
|
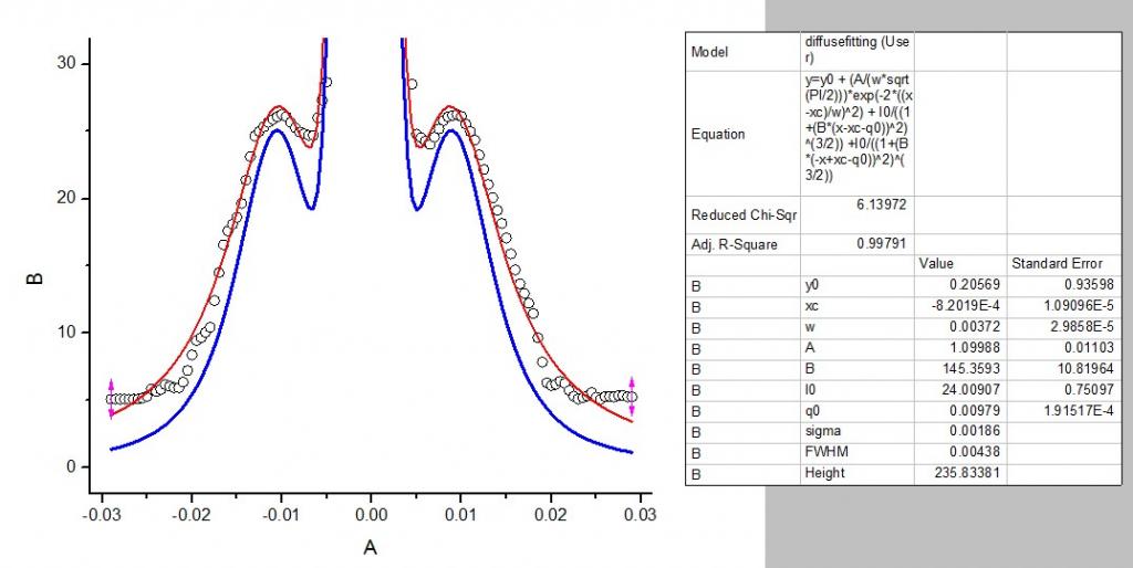
¹«Ê½ºÍÊý¾Ý y=y0 + (A/(w*sqrt(PI/2)))*exp(-2*((x-xc)/w)^2) + I0/((1+(B*(x-xc-q0))^2)^(3/2)) +I0/((1+(B*(-x+xc-q0))^2)^(3/2)) x y -0.029 5.1 -0.0285 5.1 -0.028 5.1 -0.0275 5.1 -0.027 5.1 -0.0265 5.10174 -0.026 5.11982 -0.0255 5.18017 -0.025 5.31294 -0.0245 5.84999 -0.024 5.67145 -0.0235 5.81114 -0.023 6.19153 -0.0225 6.05487 -0.022 5.93959 -0.0215 5.95445 -0.021 6.37436 -0.0205 7.2293 -0.02 8.38688 -0.0195 9.44283 -0.019 9.67034 -0.0185 10.05087 -0.018 10.43139 -0.0175 12.42345 -0.017 14.49861 -0.0165 16.57377 -0.016 17.58375 -0.0155 18.09867 -0.015 18.61359 -0.0145 19.63705 -0.014 21.37906 -0.0135 23.12107 -0.013 24.65803 -0.0125 24.99714 -0.012 25.33624 -0.0115 25.67534 -0.011 25.88463 -0.0105 26.07587 -0.01 26.2671 -0.0095 26.08985 -0.009 25.67664 -0.0085 25.26343 -0.008 24.94888 -0.0075 24.82471 -0.007 24.70054 -0.0065 24.68189 -0.006 26.00168 -0.0055 27.32146 -0.005 28.64125 -0.0045 49.77101 -0.004 75.70529 -0.0035 101.63956 -0.003 134.68376 -0.0025 173.86947 -0.002 213.05519 -0.0015 241.77606 -1E-3 241.95314 -5E-4 242.13021 0 242.30728 5E-4 200.82224 1E-3 159.3372 0.0015 117.85215 0.002 91.74117 0.0025 71.26669 0.003 50.79221 0.0035 37.68324 0.004 33.10118 0.0045 28.51912 0.005 24.7815 0.0055 24.52567 0.006 24.26984 0.0065 24.01401 0.007 24.56509 0.0075 25.17979 0.008 25.79448 0.0085 26.06919 0.009 26.16769 0.0095 26.26619 0.01 26.10607 0.0105 25.54206 0.011 24.97805 0.0115 24.3488 0.012 23.25049 0.0125 22.15217 0.013 21.05386 0.0135 20.07568 0.014 19.11807 0.0145 18.16046 0.015 17.07029 0.0155 15.88631 0.016 14.70233 0.0165 13.67503 0.017 12.95509 0.0175 12.23516 0.018 11.47823 0.0185 9.65635 0.019 7.85349 0.0195 6.31727 0.02 6.09173 0.0205 6.19881 0.021 6.42909 0.0215 6.28467 0.022 5.74007 0.0225 5.32489 0.023 5.12049 0.0235 5.2104 0.024 5.34531 0.0245 5.60036 0.025 5.24807 0.0255 5.10401 0.026 5.27833 0.0265 5.30362 0.027 5.26895 0.0275 5.36758 0.028 5.37231 0.0285 5.25785 0.029 5.27417 |

2Â¥2013-03-18 17:46:49
dingd
Ìú¸Ëľ³æ (Ö°Òµ×÷¼Ò)
- ¼ÆËãÇ¿Ìû: 4
- Ó¦Öú: 1641 (½²Ê¦)
- ½ð±Ò: 15037.3
- É¢½ð: 101
- ºì»¨: 234
- Ìû×Ó: 3410
- ÔÚÏß: 1223.7Сʱ
- ³æºÅ: 291104
- ×¢²á: 2006-10-28
¡¾´ð°¸¡¿Ó¦Öú»ØÌû
¡ï ¡ï
¸Ðл²ÎÓ룬ӦÖúÖ¸Êý +1
csgt0: ½ð±Ò+2, лл 2013-03-21 10:49:12
¸Ðл²ÎÓ룬ӦÖúÖ¸Êý +1
csgt0: ½ð±Ò+2, лл 2013-03-21 10:49:12
|
ÓÃOriginµÃµ½µÄ½á¹û²»ÊÇÈ«¾Ö×îÓŽ⣬ÏÂÃæµÄËÆºõ²ÅÊÇ£º y0 2.14381627315901 xc -0.000820199585037854 w -0.00372470373134424 a -1.10355569878208 b 116.604814600163 i0 23.1351090176393 q0 -0.00973377125981031 |
3Â¥2013-03-18 18:04:46
meihai3166
ľ³æ (СÓÐÃûÆø)
- Ó¦Öú: 13 (СѧÉú)
- ½ð±Ò: 1389.4
- É¢½ð: 300
- ºì»¨: 1
- Ìû×Ó: 226
- ÔÚÏß: 79.3Сʱ
- ³æºÅ: 192775
- ×¢²á: 2006-02-21
- ÐÔ±ð: GG
- רҵ: ¹ÌÌåÁ¦Ñ§

4Â¥2013-03-18 21:12:04
snow_mount
Ìú³æ (СÓÐÃûÆø)
- Ó¦Öú: 3 (Ó×¶ùÔ°)
- ½ð±Ò: 29.8
- É¢½ð: 55
- Ìû×Ó: 58
- ÔÚÏß: 9.9Сʱ
- ³æºÅ: 948572
- ×¢²á: 2010-01-26
- ÐÔ±ð: GG
- רҵ: Äý¾Û̬ÎïÐÔI:½á¹¹¡¢Á¦Ñ§ºÍ

5Â¥2013-03-18 21:37:32
snow_mount
Ìú³æ (СÓÐÃûÆø)
- Ó¦Öú: 3 (Ó×¶ùÔ°)
- ½ð±Ò: 29.8
- É¢½ð: 55
- Ìû×Ó: 58
- ÔÚÏß: 9.9Сʱ
- ³æºÅ: 948572
- ×¢²á: 2010-01-26
- ÐÔ±ð: GG
- רҵ: Äý¾Û̬ÎïÐÔI:½á¹¹¡¢Á¦Ñ§ºÍ

6Â¥2013-03-18 21:44:30
change0618
Ìú¸Ëľ³æ (ÖøÃûдÊÖ)
·½ÕÉ´óʦ
- ¼ÆËãÇ¿Ìû: 1
- Ó¦Öú: 44 (СѧÉú)
- ½ð±Ò: 17724.5
- ºì»¨: 17
- Ìû×Ó: 2413
- ÔÚÏß: 546.7Сʱ
- ³æºÅ: 496517
- ×¢²á: 2008-01-19
- רҵ: »¯Ñ§·´Ó¦¹¤³Ì
7Â¥2013-03-19 07:44:06
change0618
Ìú¸Ëľ³æ (ÖøÃûдÊÖ)
·½ÕÉ´óʦ
- ¼ÆËãÇ¿Ìû: 1
- Ó¦Öú: 44 (СѧÉú)
- ½ð±Ò: 17724.5
- ºì»¨: 17
- Ìû×Ó: 2413
- ÔÚÏß: 546.7Сʱ
- ³æºÅ: 496517
- ×¢²á: 2008-01-19
- רҵ: »¯Ñ§·´Ó¦¹¤³Ì
8Â¥2013-03-19 08:05:47
dingd
Ìú¸Ëľ³æ (Ö°Òµ×÷¼Ò)
- ¼ÆËãÇ¿Ìû: 4
- Ó¦Öú: 1641 (½²Ê¦)
- ½ð±Ò: 15037.3
- É¢½ð: 101
- ºì»¨: 234
- Ìû×Ó: 3410
- ÔÚÏß: 1223.7Сʱ
- ³æºÅ: 291104
- ×¢²á: 2006-10-28
|
Èç¹ûWºÍA²»Îª¸º£º ¾ù·½²î(RMSE): 2.37282528822682 ²Ð²îƽ·½ºÍ(SSE): 658.745082268495 Ïà¹ØÏµÊý(R): 0.999032471210196 Ïà¹ØÏµÊý֮ƽ·½(R^2): 0.99806587853235 ¾ö¶¨ÏµÊý(DC): 0.99806587853235 ¿¨·½ÏµÊý(Chi-Square): 8.66993773862881 Fͳ¼Æ(F-Statistic): 9478.8944954977 ²ÎÊý ×î¼Ñ¹ÀËã ---------- ------------- xc -0.000820199585039922 y0 2.14381626083459 w 0.00372470373106385 a 1.10355569864669 b 116.604814472059 i0 23.1351090219006 q0 0.00973377125960321 |
9Â¥2013-03-19 08:22:04















»Ø¸´´ËÂ¥