| 查看: 1045 | 回复: 4 | |
fangyongxinxi新虫 (正式写手)
|
[求助]
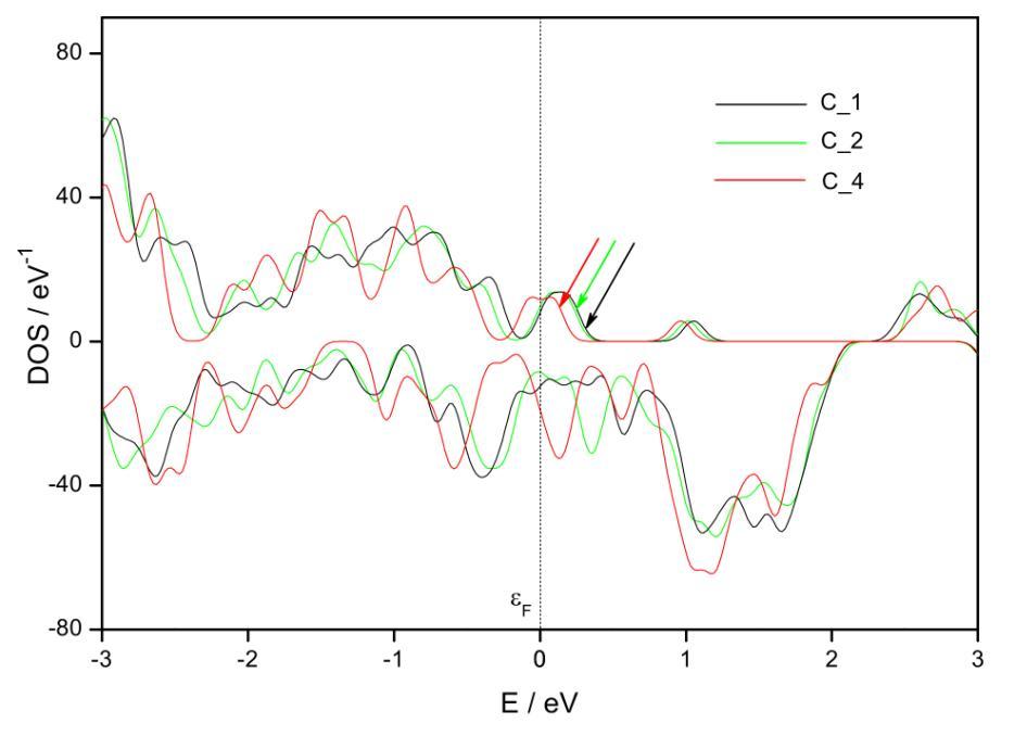
求助:掺杂位置不同导致结构稳定性不同的态密度解释
|
|
|
|
pengliusss木虫 (小有名气)
|
|
|
2楼2013-03-28 10:16:04
|
|
ApolloYang木虫 (正式写手)
|
|
|
3楼2013-03-28 18:12:11
|
|
|
4楼2018-07-06 10:15:36
|
|
哈士狼新虫 (著名写手)
|
|
|
5楼2018-07-06 14:11:52
|
|














回复此楼