| 查看: 529 | 回复: 4 | |||
超级丐中丐金虫 (小有名气)
|
[求助]
求教两个积分结果,请高手相助
|
|
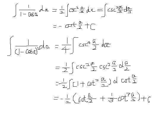
∫[1/(1-cosα)]dα和∫[1/(1-cosα)^2]dα,请各位详细说一下积分办法还有结果,谢谢啦 [ Last edited by 超级丐中丐 on 2013-3-14 at 12:35 ] |
» 猜你喜欢
0703化学求调剂,各位老师看看我!!!
已经有3人回复
339求调剂
已经有5人回复
287求调剂
已经有8人回复
一志愿北京化工大学 070300 学硕 336分 求调剂
已经有8人回复
085602 化工专硕 338分 求调剂
已经有5人回复
0856,材料与化工321分求调剂
已经有4人回复
一志愿北京化工大学材料与化工 264分各科过A区国家线
已经有10人回复
266求调剂
已经有8人回复
265求调剂
已经有3人回复
286求调剂
已经有6人回复
» 本主题相关价值贴推荐,对您同样有帮助:
求高手指点,ANSYS新手求教一个非常简单的问题
已经有6人回复
求教高手两个实变函数题目
已经有4人回复
ANSYS模拟传热不收敛,请高手相助。附有命令流
已经有3人回复
求问:解读NCBI 保守结构域分析结果
已经有11人回复
【求助】求教各位高手,怎么设置液液两相间的传质界面
已经有8人回复
【求助/交流】求教一个关于酶方面的问题,请高手不吝赐教
已经有10人回复
wurongjun
专家顾问 (职业作家)
-

专家经验: +831 - 数学EPI: 9
- 应助: 791 (博后)
- 贵宾: 0.308
- 金币: 24609
- 散金: 310
- 红花: 75
- 帖子: 3004
- 在线: 881.4小时
- 虫号: 1368482
- 注册: 2011-08-14
- 性别: GG
- 专业: 计算数学与科学工程计算
- 管辖: 数学

2楼2013-03-14 14:03:53
断剑残雪
铁杆木虫 (职业作家)
- 应助: 25 (小学生)
- 贵宾: 0.057
- 金币: 8521.4
- 散金: 9306
- 红花: 191
- 沙发: 5
- 帖子: 3566
- 在线: 1232.8小时
- 虫号: 2187840
- 注册: 2012-12-15
- 专业: 代数学

3楼2013-03-14 19:26:57
ssszhangxx
铁杆木虫 (正式写手)
- 应助: 0 (幼儿园)
- 金币: 7016.6
- 红花: 3
- 帖子: 428
- 在线: 184.2小时
- 虫号: 14413
- 注册: 2003-06-04
- 专业: 数理逻辑和与计算机相关的
4楼2013-03-15 12:57:42
待爱.Azure
至尊木虫 (职业作家)
- 应助: 13 (小学生)
- 金币: 15009.1
- 散金: 30
- 红花: 20
- 帖子: 4081
- 在线: 341.7小时
- 虫号: 1187638
- 注册: 2011-01-11
- 性别: GG
- 专业: 分离过程

5楼2013-03-19 16:44:47














回复此楼