版块导航
正在加载中...
客户端APP下载
论文辅导
申博辅导
登录
注册
帖子
帖子
用户
本版
应《网络安全法》要求,自2017年10月1日起,未进行实名认证将不得使用互联网跟帖服务。为保障您的帐号能够正常使用,请尽快对帐号进行手机号验证,感谢您的理解与支持!
24小时热门版块排行榜
>
论坛更新日志
(3617)
>
虫友互识
(1057)
>
文献求助
(274)
>
导师招生
(185)
>
休闲灌水
(174)
>
考博
(135)
>
教师之家
(90)
>
硕博家园
(86)
>
博后之家
(82)
>
论文投稿
(81)
>
找工作
(77)
>
基金申请
(71)
>
论文道贺祈福
(67)
>
考研
(62)
>
公派出国
(52)
>
招聘信息布告栏
(38)
小木虫论坛-学术科研互动平台
»
化学化工区
»
无机/物化
»
综合其它
»
配位化学的问题,急急急!!!
3
1/1
返回列表
查看: 419 | 回复: 2
只看楼主
@他人
存档
新回复提醒
(忽略)
收藏
在APP中查看
splswzx
木虫
(职业作家)
应助: 47
(小学生)
金币: 19275.2
散金: 1920
红花: 11
帖子: 3963
在线: 538.1小时
虫号: 1274504
注册: 2011-04-22
性别: GG
专业: 无机合成和制备化学
[
求助
]
配位化学的问题,急急急!!!
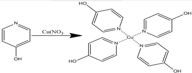
想问一下二价铜离子的配位数是多少?形成的什么构型?希望提高更多的金属离子配位数和构型,谢谢各位了,比较急,大家看看我下面的符合要求吗?
8HB9XN4(R(SJLTT@K$YCK%L.jpg
回复此楼
» 猜你喜欢
南方科技大学招收金属材料方向博士生
已经有23人回复
可降解聚酯材料在医疗器械中的应用趋势与创新方向
已经有0人回复
有机高分子材料论文润色/翻译怎么收费?
已经有163人回复
可降解微球如何提升药物精准治疗效果
已经有0人回复
静电纺丝膜分层问题
已经有0人回复
什么脱膜剂可以完全清洗干净啊?
已经有2人回复
暨南大学化学与材料学院赵宇亮院士正在招博士和博后,方向为生物材料和纳米医学
已经有1人回复
可生物降解聚酯正在重塑现代医疗器械
已经有0人回复
26届博士申请
已经有2人回复
» 本主题相关价值贴推荐,对您同样有帮助:
紧急求助关于英文文章中化合物名称的问题,急急急急啊
已经有3人回复
急急急!关于气相计算百分含量的问题!!!
已经有6人回复
求助如何用泊松方程解几何电化学问题,急急急!!!
已经有3人回复
急急急---如何计算物体受到压强---很基础但是很混淆的问题
已经有7人回复
求助此图的ostu方法分割图像的matlab编程,急急急,金币不是问题啊!
已经有8人回复
急急急急!!!细胞MTT实验中药物溶解性问题!急急急!
已经有12人回复
急急急!符号函数解代数方程遇到的问题
已经有14人回复
求助ICP测定分子筛中钠离子含量的问题,急急急。。。。
已经有8人回复
凝胶注模中的引发问题,急急急,前辈们帮帮分析分析
已经有12人回复
【求助完结】有最近递签加拿大的吗?查询状态的问题。。急急急。。。
已经有7人回复
【求助】关于高效液相柱子堵塞的问题 急急急!!!!!!
已经有16人回复
【求助完结】急急急!J2签证SEVIS表格问题!
已经有19人回复
【求助】气相色谱出峰顺序问题,急急急
已经有14人回复
【求助】急急急,邀请函不合适,三个问题请教各位!谢谢
已经有5人回复
1楼
2013-03-13 19:30:06
已阅
回复此楼
关注TA
给TA发消息
送TA红花
TA的回帖
jiagle
专家顾问
(知名作家)
专家经验: +5165
ICEPI: 166
应助: 5678
(副教授)
贵宾: 2.513
金币: 84732.4
散金: 10041
红花: 513
帖子: 8620
在线: 1197.9小时
虫号: 1960227
注册: 2012-08-28
性别: GG
专业: 无机材料化学
管辖:
无机/物化
【答案】应助回帖
★ ★ ★ ★ ★ ★
感谢参与,应助指数 +1
splswzx: 金币+5
2013-03-13 20:02:00
fds329: 金币+1, 感谢应助。辛苦了O(∩_∩)O
2013-03-15 13:23:08
二价铜的配位数一般是4;
但当配体较小时也可以达到6。
你画出的配体比较大,位阻相当强,再说配位原子N在环上,其孤电子对会参与离域,所以N上电子并不是太富,配合物的稳定性可能会受影响,形成有一定难度。
如果采用配位能力弱的非水溶剂,降低配位能力较强的水的浓度,也可能会生成。
赞
一下
回复此楼
2楼
2013-03-13 19:38:51
已阅
回复此楼
关注TA
给TA发消息
送TA红花
TA的回帖
splswzx
木虫
(职业作家)
应助: 47
(小学生)
金币: 19275.2
散金: 1920
红花: 11
帖子: 3963
在线: 538.1小时
虫号: 1274504
注册: 2011-04-22
性别: GG
专业: 无机合成和制备化学
引用回帖:
2楼
:
Originally posted by
jiagle
at 2013-03-13 19:38:51
二价铜的配位数一般是4;
但当配体较小时也可以达到6。
你画出的配体比较大,位阻相当强,再说配位原子N在环上,其孤电子对会参与离域,所以N上电子并不是太富,配合物的稳定性可能会受影响,形成有一定难度。
如 ...
吡啶环上的氮不会参与共轭结构,有机上是这样说的,并且有碱性,你认为选什么溶剂呢?
赞
一下
回复此楼
3楼
2013-03-13 20:01:55
已阅
回复此楼
关注TA
给TA发消息
送TA红花
TA的回帖
相关版块跳转
有机交流
有机资源
高分子
无机/物化
分析
催化
工艺技术
化工设备
石油化工
精细化工
电化学
环境
SciFinder/Reaxys
我要订阅楼主
splswzx
的主题更新
3
1/1
返回列表
如果回帖内容含有宣传信息,请如实选中。否则帐号将被全论坛禁言
普通表情
龙
兔
虎
猫
百度网盘
|
360云盘
|
千易网盘
|
华为网盘
在新窗口页面中打开自己喜欢的网盘网站,将文件上传后,然后将下载链接复制到帖子内容中就可以了。
信息提示
关闭
请填处理意见
关闭
确定