| ²é¿´: 839 | »Ø¸´: 4 | ||
jzd19851102гæ (СÓÐÃûÆø)
|
[ÇóÖú]
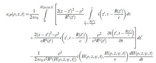
ÇóÖúµç´Å³¡Ê±ÓòÊýÖµ¼ÆË㣨º¬Ë«ÖØ»ý·Ö£©Éæ¼°µ½µç´Å³¡µÄ¼ÆËã
|
|
Éæ¼°µ½µç´Å³¡µÄ¼ÆË㣬ʽÖÐiΪ¸ß¶ÈzºÍʱ¼ätµÄº¯Êý¡£ ¸ÃʽÓÉÈý²¿·Ö×é³É£¬Ã¿¸ö·ÖÁ¿ºÍiµÄ»ý·Ö£¬iµÄ΢·Ö,i³ÉÕý±È¡£ ÆäËûǰÁ½ÏîÉæ¼°µ½Ë«ÖØ»ý·Ö£¬ÈçºÎ±à³ÌʵÏÖ£¿ ûÓÐ˼·£¬Çë¸ßÊÖÖ¸½Ì¡£ |
» ²ÂÄãϲ»¶
070200Çóµ÷¼Á£¬Ò»Ö¾Ô¸Ä³211£¬288·Ö
ÒѾÓÐ20È˻ظ´
·¨¹ú²©Ê¿ºóְλ
ÒѾÓÐ0È˻ظ´
ÎïÀíѧIÂÛÎÄÈóÉ«/·ÒëÔõôÊÕ·Ñ?
ÒѾÓÐ130È˻ظ´
ÖØÇì½»´ó26Äê˶ʿÉúÕÐÉúÄâµ÷¼Á֪ͨÒѳö£¡»¶Ó¼ÓÈë»úÆ÷ÊÓ¾õÓë3D¹âѧ³ÉÏñ¿ÎÌâ×é¡£
ÒѾÓÐ0È˻ظ´
**
ÒѾÓÐ1È˻ظ´
0702Ò»Ö¾Ô¸¼ª´óBÇøÇóµ÷¼Á ±¾¿ÆÆÚ¼ä·¢±íһƪSci
ÒѾÓÐ3È˻ظ´
»ùµ×STO,±¡Ä¤SRO£¬XRDÀïÃæµÄÕñµ´£¬ÊÇlaueÕðµ´»¹ÊÇkiessigÕñµ´? ÔõôÅжϣ¿
ÒѾÓÐ2È˻ظ´
BÇøÑ§Éúµ÷¼Á-À¼Öݽ»Í¨´óѧ²ÄÁÏ¿ÆÑ§Ó빤³ÌѧԺ
ÒѾÓÐ8È˻ظ´
ɽÎ÷´óͬ´óѧÎïÀíѧרҵ»¹Óе÷¼ÁÃû¶î£¬»¶Óµ÷¼Á£¡
ÒѾÓÐ9È˻ظ´
» ±¾Ö÷ÌâÏà¹Ø¼ÛÖµÌùÍÆ¼ö£¬¶ÔÄúͬÑùÓаïÖú:
ÇóͬÖáµçÀÂÖнðÊôÆÁ±Î²ãÓëÖ÷оµ¼ÌåÖ®¼äµÄµç¶¯Á¦¼ÆË㹫ʽ»ò·½·¨
ÒѾÓÐ4È˻ظ´
[ÇóÖú] ÄâÎÈ̬µç´Å³¡ÊDz»ÊDz¨µÄÐÎʽ£¿
ÒѾÓÐ4È˻ظ´
ÓÐÏÞÔª·¨µÄÀíÂÛÇóÖú
ÒѾÓÐ6È˻ظ´
늴ňöÄÜ„ÓÁ¿?ˆÁ¿µÄÓ‹Ë㆖î}£¬?VÁxÏàŒ¦Õ“ÏµÄ
ÒѾÓÐ26È˻ظ´
¹ØÓÚÇ¿¼¤¹â¼¤·¢µÄµç´Å³¡ÎÊÌâ
ÒѾÓÐ5È˻ظ´
¡¾ÇóÖú¡¿µç×Ó×ÔÐý²úÉúµç´Å³¡µÄ·½Ïò
ÒѾÓÐ5È˻ظ´
¡¾ÇóÖú¡¿ÇóÍÆ¼ö ×îÈÝÒ×ÉÏÊֵĵç´Å³¡·ÂÕæÈí¼þ£¨µÍƵÉõÖÁ¾²Ì¬)£¬Äܹ»¼òµ¥½¨3dÄ£ÐͺÍÉèÖÃ
ÒѾÓÐ3È˻ظ´
¡¶µç´Å³¡Óëµç´Å²¨¡·Ð»´¦·½ ¸ßµÈ½ÌÓý³ö°æÉçµÚËÄ°æ ¿ÎºóϰÌâ´ð°¸
ÒѾÓÐ3È˻ظ´
¡¾ÇóÖú¡¿µç´Å³¡µÄ¾ÖÓò»¯ÔõôÀí½â
ÒѾÓÐ7È˻ظ´
¡¾ÇóÖú¡¿µç´Å³¡Ê¸ÊƺͱêÊÆ
ÒѾÓÐ7È˻ظ´
jzd19851102
гæ (СÓÐÃûÆø)
- Ó¦Öú: 0 (Ó×¶ùÔ°)
- ½ð±Ò: 1549.4
- É¢½ð: 405
- ºì»¨: 1
- Ìû×Ó: 271
- ÔÚÏß: 67Сʱ
- ³æºÅ: 1755749
- ×¢²á: 2012-04-14
- רҵ: ´óÆøÒ£¸ÐºÍ´óÆøÌ½²â
2Â¥2013-03-09 09:06:06
jzd19851102
гæ (СÓÐÃûÆø)
- Ó¦Öú: 0 (Ó×¶ùÔ°)
- ½ð±Ò: 1549.4
- É¢½ð: 405
- ºì»¨: 1
- Ìû×Ó: 271
- ÔÚÏß: 67Сʱ
- ³æºÅ: 1755749
- ×¢²á: 2012-04-14
- רҵ: ´óÆøÒ£¸ÐºÍ´óÆøÌ½²â
3Â¥2013-03-09 09:09:16
eezyzyzzzee
ľ³æ (ÖøÃûдÊÖ)
- Ó¦Öú: 45 (СѧÉú)
- ½ð±Ò: 3127.3
- É¢½ð: 110
- ºì»¨: 17
- Ìû×Ó: 2212
- ÔÚÏß: 296Сʱ
- ³æºÅ: 516652
- ×¢²á: 2008-03-03
- רҵ: ¿ÉÔÙÉúÓëÌæ´úÄÜÔ´ÀûÓÃÖеÄ
4Â¥2013-03-09 22:11:43
dobo
½ð³æ (ÕýʽдÊÖ)
- Ó¦Öú: 5 (Ó×¶ùÔ°)
- ½ð±Ò: 1058.7
- É¢½ð: 10
- ºì»¨: 3
- ɳ·¢: 2
- Ìû×Ó: 982
- ÔÚÏß: 236.9Сʱ
- ³æºÅ: 1665410
- ×¢²á: 2012-03-05
- ÐÔ±ð: GG
- רҵ: Éùѧ
¡¾´ð°¸¡¿Ó¦Öú»ØÌû
¡ï
csgt0: ½ð±Ò+1, лл 2013-03-15 15:01:56
csgt0: ½ð±Ò+1, лл 2013-03-15 15:01:56
|
½âÎö½âµÄ»°£¬»¹µÃ¿´iµÄ¾ßÌå±í´ïʽ£¬Ë«ÖØ»ý·ÖÆäʵÊÇÁ½¸öһά»ý·ÖµÄÏȺóÖ´ÐС£ ÕâÀï¶¼Ö»Éè¼Æµ½Ò»½×ά·ÖºÍÒ»½×»ý·Ö£¬Èç¹ûi²»¸´Ôӵϰ£¬¶¼Ã»ÓÐʲôÄѶȡ£ Èç¹ûi¸´Ôӵϰ£¬ÊÔÊÔmatlab»òÕßmathematicsµÄ·ûºÅ±í´ïÔËË㣬¶¼Óмò»¯»ý·ÖºÍ΢·ÖµÄ×Ó³ÌÐò£¬Äã°ÑiµÄʽ×ÓÖ±½Ó´ø½øÈ¥¿´¿´¡£ |
5Â¥2013-03-13 20:21:16













»Ø¸´´ËÂ¥
5