| 查看: 2391 | 回复: 1 | |||
[交流]
二阶偏微分方程(抛物线型)——MATLAB程序求教 已有1人参与
|
|
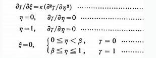
这是一个抛物线形二阶偏微分方程,我解了半天感觉都不对,尤其是边界条件最后一个不知道如何处理,同时也想使用MATLAB进行求解,该如何编写程序啊?请好心的师兄师姐们,给指点指点? 1.jpg 2.jpg |
» 猜你喜欢
266求调剂
已经有4人回复
324求调剂
已经有9人回复
招收生物学/细胞生物学调剂
已经有4人回复
一志愿武汉理工,总分321,英一数二,求老师收留。
已经有5人回复
284求调剂
已经有12人回复
348求调剂
已经有3人回复
329求调剂
已经有7人回复
求调剂,一志愿 南京航空航天大学大学 ,080500材料科学与工程学硕
已经有4人回复
考研调剂
已经有9人回复
304材料求调剂
已经有4人回复
» 本主题相关价值贴推荐,对您同样有帮助:
Matlab求解二阶偏微分方程组,希望能给出相应的求解代码
已经有10人回复
有限差分离散二阶偏微分方程后如何编译matlab程序解方程组?
已经有3人回复
Matlab求解偏微分方程组
已经有22人回复
偏微分方程数值解有基本理论和一些例子(化工类)MATLAB源程序
已经有296人回复
急求解一维抛物线型偏微分方程组,有模块化的软件吗?望高手不吝指教。
已经有1人回复
eezyzyzzzee
木虫 (著名写手)
- 应助: 45 (小学生)
- 金币: 3127.3
- 散金: 110
- 红花: 17
- 帖子: 2212
- 在线: 296小时
- 虫号: 516652
- 注册: 2008-03-03
- 专业: 可再生与替代能源利用中的
2楼2013-02-26 22:04:05














回复此楼
20