| 查看: 1120 | 回复: 0 | ||
[求助]
如何将模型写成仿射非线性形式
|
|
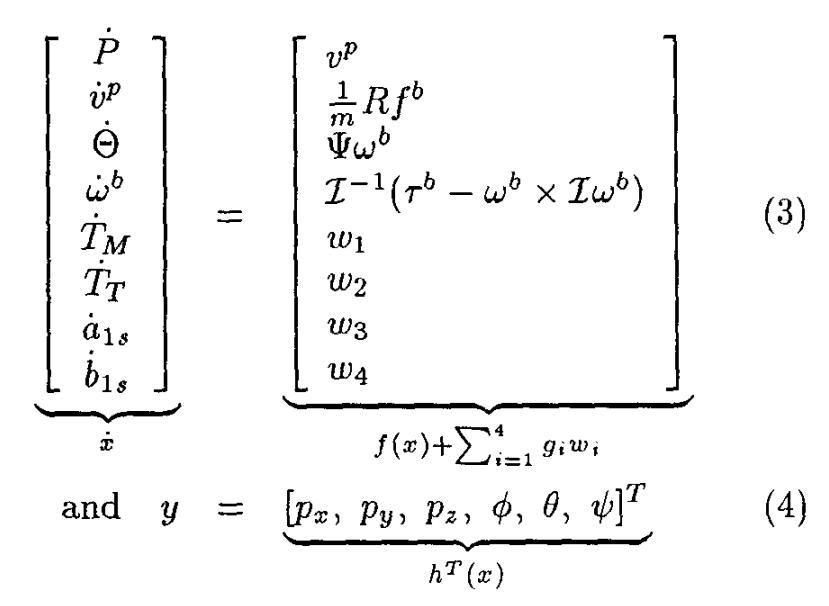
看一篇关于直升机的文献,其中将模型化为仿射非线性形式,然后在线性化,定义了四个输入变量,但是在模型中四个输入有各种形式,应该怎么办?请大神指点一下!!文献也传上了。 参数1.jpg 参数2.jpg 模型.jpg |
» 本帖附件资源列表
-
欢迎监督和反馈:小木虫仅提供交流平台,不对该内容负责。
本内容由用户自主发布,如果其内容涉及到知识产权问题,其责任在于用户本人,如对版权有异议,请联系邮箱:xiaomuchong@tal.com - 附件 1 : @直升机模型线性化的(英文).pdf
2013-02-23 16:19:06, 602.92 K
» 猜你喜欢
依托企业入选了国家启明计划青年人才。有无高校可以引进的。
已经有9人回复
有时候真觉得大城市人没有县城人甚至个体户幸福
已经有11人回复
表哥与省会女结婚,父母去帮带孩子被省会女气回家生重病了
已经有7人回复
同年申请2项不同项目,第1个项目里不写第2个项目的信息,可以吗
已经有8人回复
依托企业入选了国家启明计划青年人才。有无高校可以引进的。
已经有10人回复
天津大学招2026.09的博士生,欢迎大家推荐交流(博导是本人)
已经有9人回复
有院领导为了换新车,用横向课题经费买了俩车
已经有10人回复
AI 太可怕了,写基金时,提出想法,直接生成的文字比自己想得深远,还有科学性
已经有6人回复
找到一些相关的精华帖子,希望有用哦~
用origin或spss等软件进行软件中没有的模型进行非线性的回归分析
已经有3人回复
用backstepping控制垂直陀螺
已经有12人回复
关于仿射非线性系统
已经有8人回复
【求助】Matlab非线性最小二乘拟合活度系数模型(Willson、NRTL、UNIQUAC)
已经有17人回复
origin中非线性拟合中logistic模型的疑问?
已经有6人回复
科研从小木虫开始,人人为我,我为人人













回复此楼
点击这里搜索更多相关资源