| ²é¿´: 566 | »Ø¸´: 4 | ||
long512793Ìú³æ (ÖøÃûдÊÖ)
Cook
|
[ÇóÖú]
PS based Copolymer
|
¸ß·Ö×Ó·½Ãæ |
» ²ÂÄãϲ»¶
271Çóµ÷¼Á
ÒѾÓÐ18È˻ظ´
µ÷¼ÁÇóÖú
ÒѾÓÐ6È˻ظ´
²ÄÁÏ¿¼Ñе÷¼Á
ÒѾÓÐ22È˻ظ´
Çóµ÷¼Á£¬985²ÄÁÏÓ뻯¹¤348·Ö
ÒѾÓÐ4È˻ظ´
Çóµ÷¼Á£¬Ò»Ö¾Ô¸´óÁ¬Àí¹¤´óѧ354·Ö
ÒѾÓÐ3È˻ظ´
211±¾¿Æ²ÄÁÏ»¯¹¤Çóµ÷¼Á
ÒѾÓÐ8È˻ظ´
270Çóµ÷¼Á
ÒѾÓÐ9È˻ظ´
366Çóµ÷¼Á
ÒѾÓÐ4È˻ظ´
µ÷¼Á
ÒѾÓÐ5È˻ظ´
Ò»Ö¾Ô¸Ïôó0856£¬306Çóµ÷¼Á
ÒѾÓÐ6È˻ظ´
» ±¾Ö÷ÌâÏà¹Ø¼ÛÖµÌùÍÆ¼ö£¬¶ÔÄúͬÑùÓаïÖú:
±½ÒÒϩϵ¾ÛºÏÎï¾µä׍ָ¡ª¡ªÏÖ´ú±½ÒÒϩϵ¾ÛºÏÎ¾Û±½ÒÒÏ©ºÍ±½ÒÒÏ©¹²¾ÛÎӢÎİ棩
ÒѾÓÐ266È˻ظ´
Ó¢ÎÄ·Òë³ÉÖÐÎÄ
ÒѾÓÐ3È˻ظ´

zlin
ÈÙÓþ°æÖ÷ (ÖªÃû×÷¼Ò)
- PEPI: 1
- Ó¦Öú: 129 (¸ßÖÐÉú)
- ¹ó±ö: 3.286
- ½ð±Ò: 19895.6
- É¢½ð: 6401
- ºì»¨: 128
- ɳ·¢: 1
- Ìû×Ó: 9400
- ÔÚÏß: 771Сʱ
- ³æºÅ: 636132
- ×¢²á: 2008-10-25
- ÐÔ±ð: GG
- רҵ: µç»¯Ñ§
- ¹ÜϽ: µç»¯Ñ§

2Â¥2013-02-20 21:52:45
long512793
Ìú³æ (ÖøÃûдÊÖ)
Cook
- Ó¦Öú: 11 (СѧÉú)
- ½ð±Ò: 78.6
- É¢½ð: 2231
- ºì»¨: 4
- Ìû×Ó: 1299
- ÔÚÏß: 270.8Сʱ
- ³æºÅ: 774522
- ×¢²á: 2009-05-19
- ÐÔ±ð: GG
- רҵ: ¸ß·Ö×Ó×é×°Ó볬·Ö×ӽṹ
|
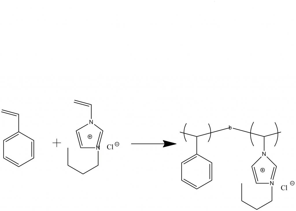
We want to get the regular copolymer, not the random copolymer. Do you think it is easy to get that without ATRP? |

3Â¥2013-02-20 23:07:42
zlin
ÈÙÓþ°æÖ÷ (ÖªÃû×÷¼Ò)
- PEPI: 1
- Ó¦Öú: 129 (¸ßÖÐÉú)
- ¹ó±ö: 3.286
- ½ð±Ò: 19895.6
- É¢½ð: 6401
- ºì»¨: 128
- ɳ·¢: 1
- Ìû×Ó: 9400
- ÔÚÏß: 771Сʱ
- ³æºÅ: 636132
- ×¢²á: 2008-10-25
- ÐÔ±ð: GG
- רҵ: µç»¯Ñ§
- ¹ÜϽ: µç»¯Ñ§

4Â¥2013-02-21 07:41:45
138138
ľ³æ (СÓÐÃûÆø)
- Ó¦Öú: 1 (Ó×¶ùÔ°)
- ½ð±Ò: 2474.5
- É¢½ð: 3
- ºì»¨: 2
- Ìû×Ó: 153
- ÔÚÏß: 88.2Сʱ
- ³æºÅ: 372019
- ×¢²á: 2007-05-15
- רҵ: ¸ß·Ö×Ó²ÄÁÏÓë»·¾³
¡¾´ð°¸¡¿Ó¦Öú»ØÌû
¸Ðл²ÎÓ룬ӦÖúÖ¸Êý +1
|
Of coz, PS should be the first block. and the method of ATRP is mature, you can find it easily. for the second block, I think there is some issue to be noted: 1, there are two nitrogen atoms. So in my opinion, strong chelating agent should be used like Me6TRAN. 2, I do not know Cl- will affect the monomer's polymerization, because the mechanism of metal like Cu is coupling with Cl- to inhibit the radical. 3. you need to keep the second monomer positive charged only as which have aromatic properties and keep the monomer active. for accurate synthesis, you need to refer to web of science, or SciFinder, you can search by structure or reaction. I did not search that. if not find in literature, you need to try, there may be other problem to be encountered. Good luck! |

5Â¥2013-02-21 22:47:29













»Ø¸´´ËÂ¥
5