| ²é¿´: 2639 | »Ø¸´: 3 | ||||
rainbowguyÒø³æ (ÕýʽдÊÖ)
|
[ÇóÖú]
¶àÔª±äÁ¿µÄÁú¸ñ-¿âËþ(Runge-Kutta)¹«Ê½£¬Ôõôд£¿Çó½Ì´óÏÀ£¡
|
|
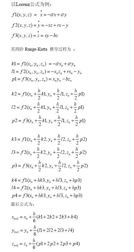
ÇëÎʶà±äÁ¿µÄÁú¸ñ-¿âËþ(Runge-Kutta)¹«Ê½Ôõôд£¿ ±ÈÈçÓÐÈý¸ö±äÁ¿x,y,z£¬×é³ÉÒ»¸ö·½³Ì×é[º¬3¸ö·½³Ì]£º(1) x' = f1(x,y,z);(2) y' = f2(x,y,z); (3) z' = f3(x,y,z). ÉÏÃæÕâ¸ö·½³Ì×éµÄËĽ×Áú¸ñ-¿âËþ(Runge-Kutta)¹«Ê½¾ßÌåµÄд·¨ÊÇʲô£¿ |
» ²ÂÄãϲ»¶
303Çóµ÷¼Á
ÒѾÓÐ8È˻ظ´
¿¼Ñе÷¼Á
ÒѾÓÐ10È˻ظ´
0856²ÄÁÏ»¯¹¤µ÷¼Á ×Ü·Ö330
ÒѾÓÐ8È˻ظ´
316Çóµ÷¼Á
ÒѾÓÐ3È˻ظ´
317Çóµ÷¼Á
ÒѾÓÐ3È˻ظ´
²ÄÁÏÓ뻯¹¤£¨0856£©304ÇóBÇøµ÷¼Á
ÒѾÓÐ4È˻ظ´
322Çóµ÷¼Á
ÒѾÓÐ3È˻ظ´
085601 ²ÄÁϹ¤³Ì 313·Ö Çóµ÷¼Á
ÒѾÓÐ4È˻ظ´
321Çóµ÷¼Á
ÒѾÓÐ4È˻ظ´
329Çóµ÷¼Á
ÒѾÓÐ3È˻ظ´
» ±¾Ö÷ÌâÏà¹Ø¼ÛÖµÌùÍÆ¼ö£¬¶ÔÄúͬÑùÓаïÖú:
Çómatlab ÓÃËĽ×Áú¸ñ-¿âËþ·¨Çó½â΢·Ö·½³Ì
ÒѾÓÐ4È˻ظ´
Áú¸ñ¿âËþ·¨ matlab
ÒѾÓÐ6È˻ظ´
½ñÄê»ù´¡²»·¢Ð¡²á×ÓÁË£¬Ôõô¿¼°¡
ÒѾÓÐ23È˻ظ´
2011×¢²á»¯¹¤¹¤³Ìʦ»ù´¡¿¼ÊÔ´ó¸Ù ÊDz»ÊǺÍÍùÄêµÄÓиı䣿£¿£¿
ÒѾÓÐ5È˻ظ´
¡¾ÇóÖú¡¿×¢²á»¯¹¤¹¤³ÌʦµÄ±¨¿¼Ìõ¼þ£¬±¨¿¼Ê±¼äÒÔ¼°¿¼ÊÔ¿ÆÄ¿¶¼ÊÇʲô£¿
ÒѾÓÐ26È˻ظ´
×¢²á»¯¹¤¹¤³Ìʦ
ÒѾÓÐ10È˻ظ´
¡¾ÇóÖú¡¿Çó2010Äê×¢²á»¯¹¤¹¤³Ìʦ»ù´¡¿¼ÊԵĿ¼ÊÔ´ó¸Ù
ÒѾÓÐ4È˻ظ´
¡¾ÇóÖú¡¿ËĽ×Áú¸ñ-¿âËþ·½·¨£¡£¡£¡£¡
ÒѾÓÐ17È˻ظ´
¡¾ÇóÖú¡¿ÓÃMATLAB Çó΢·Ö·½³Ì
ÒѾÓÐ18È˻ظ´
nono2009
³¬¼¶°æÖ÷ (ÎÄѧ̩¶·)
No gains, no pains.
-

ר¼Ò¾Ñé: +21105 - Ó¦Öú: 28684 (Ժʿ)
- ¹ó±ö: 513.911
- ½ð±Ò: 2555230
- É¢½ð: 27828
- ºì»¨: 2148
- ɳ·¢: 66666
- Ìû×Ó: 1602255
- ÔÚÏß: 65200.9Сʱ
- ³æºÅ: 827383
- ×¢²á: 2009-08-13
- ÐÔ±ð: GG
- רҵ: ¹¤³ÌÈÈÎïÀíÓëÄÜÔ´ÀûÓÃ
- ¹ÜϽ: ¿ÆÑмҳﱸίԱ»á
¡¾´ð°¸¡¿Ó¦Öú»ØÌû
¡ï ¡ï ¡ï
¸Ðл²ÎÓ룬ӦÖúÖ¸Êý +1
rainbowguy: ½ð±Ò+3 2013-02-16 14:09:55
¸Ðл²ÎÓ룬ӦÖúÖ¸Êý +1
rainbowguy: ½ð±Ò+3 2013-02-16 14:09:55
|
д³ÉÏòÁ¿ÐÎʽ¼´¿É¡£ ¸ü¶àϸ½Ú£¬¿É²Î¿¼£ºhttp://en.wikipedia.org/wiki/Runge%E2%80%93Kutta_methods |
2Â¥2013-02-15 17:54:58
rainbowguy
Òø³æ (ÕýʽдÊÖ)
- Ó¦Öú: 4 (Ó×¶ùÔ°)
- ½ð±Ò: 162.7
- É¢½ð: 327
- ºì»¨: 7
- Ìû×Ó: 312
- ÔÚÏß: 219.2Сʱ
- ³æºÅ: 1107527
- ×¢²á: 2010-09-25
- ÐÔ±ð: GG
- רҵ: ÎÛȾÎïÐÐΪ¹ý³Ì¼°Æä»·¾³Ð§
3Â¥2013-02-16 11:52:44
4Â¥2013-02-24 06:17:39














»Ø¸´´ËÂ¥
20