| ²é¿´: 2802 | »Ø¸´: 7 | ||
¼òÕÜ2013Òø³æ (СÓÐÃûÆø)
|
[ÇóÖú]
fortranÖмÆËãÏßÐÔ»ý·Ö
|
|
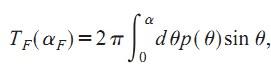
Çë½Ì´óʦ£¬ÎÒÏÖ¼ÆËãÏÂÃæÍ¼Æ¬µÄ»ý·Ö£¬ÓÃÌÝÐλý·Ö·¨¼ÆËã²»ÖªµÀÈçºÎ±àд£¬ÇëÇóÄÄλ¸ßÊÖ£¬¸øÐ©Ö¸µã LE~@)[C[91$T2D{3[GK}`(5.jpg |
» ²ÂÄãϲ»¶
Ò»Ö¾Ô¸»ªÄÏʦ·¶´óѧ0702ÎïÀíѧ305µ÷¼Á
ÒѾÓÐ5È˻ظ´
Çóµ÷¼Á
ÒѾÓÐ30È˻ظ´
266Çóµ÷¼Á
ÒѾÓÐ10È˻ظ´
297Çóµ÷¼Á
ÒѾÓÐ16È˻ظ´
326·Ö£¬Ò»Ö¾Ô¸»¦9£¬ÇóÉúÎïѧµ÷¼Á
ÒѾÓÐ4È˻ظ´
288Çóµ÷¼Á£¬Ò»Ö¾Ô¸»ªÄÏÀí¹¤´óѧ071005
ÒѾÓÐ3È˻ظ´
304Çóµ÷¼Á
ÒѾÓÐ13È˻ظ´
µ÷¼Á
ÒѾÓÐ18È˻ظ´
293µ÷¼Á
ÒѾÓÐ4È˻ظ´
338Çóµ÷¼Á
ÒѾÓÐ7È˻ظ´
» ±¾Ö÷ÌâÏà¹Ø¼ÛÖµÌùÍÆ¼ö£¬¶ÔÄúͬÑùÓаïÖú:
matlab ½â·ÇÏßÐÔÆ«Î¢·Ö·½³Ì×é
ÒѾÓÐ6È˻ظ´
Ïೡ·¨fortranÔ´´úÂë
ÒѾÓÐ166È˻ظ´
Çófortran¼ÆËã·½·¨Ö¸µ¼ 14Ôª·ÇÏßÐÔ·½³Ì×é ֮ǰ8ÔªµÄʹÓÃbfs·¨Äܽâ14Ôª½â²»ÁËѽÇóÖ¸µ¼
ÒѾÓÐ4È˻ظ´
ÈçºÎÓÃmatlabÇó»ý·ÖÖÐÒ»¸ö±äÁ¿µÄÖµ£¬»ý·ÖµÄÖµÒÑÖª¡£
ÒѾÓÐ5È˻ظ´
FORTRAN90±ê×¼º¯Êý¼°IMSL±ê×¼º¯Êý¿â
ÒѾÓÐ166È˻ظ´
fortranÑ»·ÇóÖú
ÒѾÓÐ3È˻ظ´
Fortran º¯ÊýÖеÄÑ»·ÎÞ·¨½øÐÐ
ÒѾÓÐ4È˻ظ´
fortranÓïÑÔÄ£Äâ¾²Ö¹Á÷ÌåÖпÅÁ£µÄ³Á»ý¿ÉÐÐÂð£¿
ÒѾÓÐ8È˻ظ´
ÓÃfortran³ÌÐòÒÅ´«Ëã·¨½â·ÇÏßÐÔ·½³Ì×é
ÒѾÓÐ7È˻ظ´
¶þ½×·ÇÏßÐÔ΢·Ö·½³ÌÇó½â
ÒѾÓÐ14È˻ظ´
VS20£¿£¿+intel visual fortran2011XE×ö²¢ÐмÆËãµÄ£¬ÄܽéÉÜһϾÑéÂð£¿
ÒѾÓÐ19È˻ظ´
ÇóÒ»¸ömathmeticaµÄ³ÌÐò
ÒѾÓÐ10È˻ظ´
ÎÒ±àµÄSimpson»ý·Ö·¨fortran³ÌÐò¸ø²»³ö½á¹û£¬´óÏÀÃÇ¿´¿´ÄÄÀï³öÁËÎÊÌ⣿
ÒѾÓÐ4È˻ظ´
ÇëÎÊ£¬ÎÒÏëÓÃfortran¼ÆËãͳ¼ÆÖеÄpÖµÒÔ¼°95%ÐŶȿռä
ÒѾÓÐ4È˻ظ´
¡¾ÇóÖú¡¿Çó½â·ÇÏßÐÔ·½³Ì
ÒѾÓÐ8È˻ظ´

chembetsey
ľ³æ (СÓÐÃûÆø)
- Ó¦Öú: 125 (¸ßÖÐÉú)
- ½ð±Ò: 3820.1
- É¢½ð: 5
- ºì»¨: 9
- Ìû×Ó: 262
- ÔÚÏß: 281.8Сʱ
- ³æºÅ: 1781694
- ×¢²á: 2012-04-27
- רҵ: ÀíÂۺͼÆË㻯ѧ
2Â¥2012-12-31 00:50:06
¼òÕÜ2013
Òø³æ (СÓÐÃûÆø)
- Ó¦Öú: 0 (Ó×¶ùÔ°)
- ½ð±Ò: 247.9
- É¢½ð: 18
- ºì»¨: 1
- Ìû×Ó: 52
- ÔÚÏß: 59.3Сʱ
- ³æºÅ: 2032578
- ×¢²á: 2012-09-27
- ÐÔ±ð: GG
- רҵ: ¶ÔÁ÷²ã´óÆøÎïÀíѧ
|
ÎÒÓõÄÊÇBHMIE´úÂ룬¶ÔÔ³ÌÐòÐ޸ģ¬¿É¼ÆËãÏຯÊýP£¨¦È£©£¬µ«ÊǼÆËã½ØÖ¹Îó²îµÄTµÄ»ý·Ö²»ÖªµÀÈçºÎ²åÈ룬ÎÒÏëÓÃÌÝÐÎÃæ»ý»ý·ÖдÕâ¶Î´úÂë¡£ ! ÓÃMieËãǰÏò½ØÖ¹Îó²îºÍÏຯÊýËæÁ£¾¶µÄ±ä»¯µÄÇé¿ö ! 2012Äê12ÔÂ17ÈÕ PROGRAM CALLBH ! CALLBH CALCULATES THE SIZE PARAMETER (X) AND RELATIVE REFRACTIVE ! & INDEX (REFREL) FOR A GIVEN SPHERE REFRACTIVE INDEX, MEDIUM REFRACTIVE ! & INDEX , RADIUS, AND FREE SPACE WAVELENGTH. IT THEN CALLS BUMIE, THE SUBROUTINE ! & THAT COMPUTES AMPLITUDE SCATTERING MATRIX ELEMENTS AND EFFICIENCIES COMPLEX REFREL, S1(200),S2(200) !REFREL ÊÇÇòµÄÏà¶ÔÕÛÉäÂÊ WRITE(*,11) ! REFMED (REAL) REFRACTIVE INDEX OF SURROUNDING MEDIUM !ÖÜΧ½éÖʵÄÕÛÉäÂÊ REFMED=1.0 REFRE=1.5 REFIM=0.0 ! REFRACTIVE INDEX OF SPHERE = REFRE + i*REFIM REFREL=CMPLX(REFRE,REFIM)/REFMED WRITE (*,12) REFMED,REFRE,REFIM ! RADIUS (RAD) AND WAVELENGTH (WAVEL) SAME UNITS RAD=.500 WAVEL=.532 X=2.*3.14159265*RAD*REFMED/WAVEL WRITE (*,13) RAD,WAVEL WRITE (*,14) X ! NANG = NUMBER OF ANGLES BETWEEN 0 AND 90 DEGREES ! MATRIX ELEMENTS CALCULATED AT 2*NANG - 1 ANGLES ! INCLUDING 0, 90, AND 180 DEGREES NANG=14 DANG=1.570796327/FLOAT(NANG-1) CALL BHMIE(X,REFREL,NANG,S1,S2,QEXT,QSCA,QBACK) WRITE (*,65) QSCA,QEXT,QBACK WRITE (*,17) ! S33 AND S34 MATRIX ELEMENTS NORMALIZED BY S11 ! S11 IS NORMALIZED TO 1.0 IN THE FORWARD DIRECTION ! POL=DEGEREE OF POLARIZATION (INCIDENT UNPOLARIZED LIGHT) S11NOR=0.5*(CABS(S2(1))**2+CABS(S1(1))**2) NAN=2*NANG-1 DO 355 J=1,NAN AJ=J S11=0.5*CABS(S2(J))*CABS(S2(J)) S11=S11+0.5*CABS(S1(J))*CABS(S1(J)) S12=0.5*CABS(S2(J))*CABS(S2(J)) S12=S12-0.5*CABS(S1(J))*CABS(S1(J)) POL=-S12/S11 S33=REAL(S2(J)*CONJG(S1(J))) S33=S33/S11 S34=AIMAG(S2(J)*CONJG(S1(J))) S34=S34/S11 S11=S11/S11NOR ANG=DANG*(AJ-1.)*57.2958 PHMIE=(CABS(S1(J))*CABS(S1(J))+CABS(S2(J))*CABS(S2(J)))/(2*3.14159265*X*X*QSCA) £¡Ìí¼ÓµÄ 355 WRITE (*,75) ANG,S11,POL,S33,S34,PHMIE £¡ÐÞ¸Ä 65 FORMAT (//,1X,"QSCA= ",E13.6,3X,"QEXT=",E13.6,3X,"QBACK= ",E13.6) 75 FORMAT (1X,F6.2,2X,E13.4,2X,E13.4,2X,E13.4,2X,E13.4,2X,E13.4,1X,F6.2) 11 FORMAT (/"SPHERE SCATTERING PROGRAM"//) 12 FORMAT (5X,"REFMED= ",F8.4,3X,"REFRE= ",E14.6,3X,"REFIM= ",E14.6) 13 FORMAT (5X,"SPHERE RADIUS = ",F7.3 ,3X,"WAVELENGTH = ", F7.4) 14 FORMAT (5X,"SIZE PARAMETER = ",F8.3/) 17 FORMAT (//,2X,"ANGLE",7X,"Sll",13X,"POL",13X,"S33",13X,"S34",13X,"PHMIE"//) £¡ÐÞ¸Ä STOP END ! SUBROUTINE BHMIE CALCULATES AMPLITUDE SCATTERING MATRIX ! ELEMENTS AND EFFICIENCIES FOR EXTINCTION, TOTAL SCATTERING ! AND BACKSCATTERING FOR A GIVEN SIZE PARAMETER AND ! RELATIVE REFRACTIVE INDEX SUBROUTINE BHMIE (X,REFREL,NANG,S1,S2,QEXT, QSCA,QBACK) DIMENSION AMU(100),THETA(100),PI(100),TAU(100),PI0(100),PI1(100) COMPLEX D(3000),Y,REFREL,XI,XI0,XI1,AN,BN,S1(200),S2(200) !ANºÍBNΪɢÉäϵÊý DOUBLE PRECISION PSI0,PSI1,PSI,DN,DX DX=X !°ÑÐÎ×´Òò×ÓX¸³¸øDX Y=X*REFREL ! SERIES TERMINATED AFTER NSTOP TERMS XSTOP = X+4.*X**0.3333+2.0 !XSTOPÊÇÇ°ÃæµÄ½üËÆ NSTOP=XSTOP YMOD=CABS(Y) NMX=AMAX1(XSTOP,YMOD)+15 !±È½ÏÁ½ÕßµÄ×î´óÖµÔÙ¼Ó15 DANG=1.570796327/FLOAT(NANG-1) !Çó×ܽǶÈÊý DO 555 J=1,NANG THETA(J)=(FLOAT(J)-1.)*DANG 555 AMU(J)=COS(THETA(J)) ! LOGARITHMIC DERIVATIVE D(J) CALCULATED BY DOWNWARD ! RECURRENCE BEGINNING WITH INITIAL VALUE 0.0 + I*0.0 ÓóõֵΪ 0.0 + I*0.0 µÄÏÂµÝ¹é¼ÆËã¶ÔÊýµ¼Êý ! AT J = NMX D(NMX)=CMPLX(0.0,0.0) ! NMX=0.0+i0.0ΪµÝ¹é³õÖµ NN=NMX-1 DO 120 N=1,NN RN=NMX-N+1 120 D(NMX-N)=(RN/Y)-(1./(D(NMX-N+1)+RN/Y)) DO 666 J=1,NANG PI0(J)=0.0 666 PI1(J)=1.0 NN = 2*NANG-1 DO 777 J=1,NN S1(J)=CMPLX(0.0,0.0) 777 S2(J)=CMPLX(0.0,0.0) ! RICCATI-BESSEL FUNCTIONS WITH REAL ARGUMENT X ÓÃÉÏµÝ¹é¼ÆËãʵԪXµÄÀ迨µÏ-±´Èû¶ûº¯Êý ! CALCULATED BY UPWARD RECURRENCE PSI0=DCOS(DX) PSI1=DSIN(DX) CHI0=-SIN(X) CHI1=COS(X) APSI0=PSI0 APSI1=PSI1 XI0=CMPLX(APSI0,-CHI0) XI1=CMPLX(APSI1,-CHI1) QSCA=0.0 N=1 200 DN=N !DNÊÇÏòÏ»òÏòÉϵݹéµÄ½á¹û RN=N FN=(2.*RN+1.)/(RN*(RN+1.)) PSI=(2.*DN-1.)*PSI1/DX-PSI0 APSI=PSI CHI=(2.*RN-1.)*CHI1/X-CHI0 XI=CMPLX(APSI, -CHI) AN =(D(N)/REFREL+RN/X)*APSI-APSI1 AN=AN/((D(N)/REFREL+RN/X)*XI-XI1) BN=(REFREL*D(N) + RN/X)*APSI-APSI1 BN =BN/((REFREL*D(N)+ RN/X)*XI-XI1) QSCA = QSCA+(2.*RN+1.)*(CABS(AN)*CABS(AN) + CABS(BN)*CABS(BN)) DO 789 J=1,NANG JJ=2*NANG-J PI(J) =PI1(J) TAU(J)=RN*AMU(J)*PI(J)-(RN +1.)*PI0 (J) P=(-1.)**(N-1) S1(J) = S1(J)+FN*(AN*PI(J)+BN*TAU(J)) T = (-1.)**N S2(J) = S2(J) + FN*(AN*TAU(J)+BN*PI(J)) IF(J.EQ.JJ) GO TO 789 S1(JJ) = S1(JJ) + FN*(AN*PI(J)*P+BN*TAU(J)*T) S2(JJ) = S2(JJ) + FN*(AN*TAU(J)*T + BN*PI(J)*P) 789 CONTINUE PSI0 = PSI1 PSI1=PSI APSI1=PSI1 CHI0=CHI1 CHI1=CHI XI1 = CMPLX(APSI1,-CHI1) N=N+1 RN=N DO 999 J=1,NANG PI1(J)=((2.*RN-1.)/(RN-1.))*AMU(J)*PI(J) PI1(J)=PI1(J)-RN*PI0(J)/(RN-1.) 999 PI0(J)=PI(J) IF (N-1-NSTOP) 200,300,300 300 QSCA=(2./(X*X))*QSCA QEXT=(4./(X*X))*REAL(S1(1)) QBACK=(4./(X*X))*CABS(S1(2*NANG-1))*CABS(S1(2*NANG-1)) RETURN END |

3Â¥2012-12-31 08:30:30
¼òÕÜ2013
Òø³æ (СÓÐÃûÆø)
- Ó¦Öú: 0 (Ó×¶ùÔ°)
- ½ð±Ò: 247.9
- É¢½ð: 18
- ºì»¨: 1
- Ìû×Ó: 52
- ÔÚÏß: 59.3Сʱ
- ³æºÅ: 2032578
- ×¢²á: 2012-09-27
- ÐÔ±ð: GG
- רҵ: ¶ÔÁ÷²ã´óÆøÎïÀíѧ

4Â¥2012-12-31 08:35:30
¼òÕÜ2013
Òø³æ (СÓÐÃûÆø)
- Ó¦Öú: 0 (Ó×¶ùÔ°)
- ½ð±Ò: 247.9
- É¢½ð: 18
- ºì»¨: 1
- Ìû×Ó: 52
- ÔÚÏß: 59.3Сʱ
- ³æºÅ: 2032578
- ×¢²á: 2012-09-27
- ÐÔ±ð: GG
- רҵ: ¶ÔÁ÷²ã´óÆøÎïÀíѧ

5Â¥2012-12-31 08:39:53
chembetsey
ľ³æ (СÓÐÃûÆø)
- Ó¦Öú: 125 (¸ßÖÐÉú)
- ½ð±Ò: 3820.1
- É¢½ð: 5
- ºì»¨: 9
- Ìû×Ó: 262
- ÔÚÏß: 281.8Сʱ
- ³æºÅ: 1781694
- ×¢²á: 2012-04-27
- רҵ: ÀíÂۺͼÆË㻯ѧ
6Â¥2012-12-31 14:04:09
¼òÕÜ2013
Òø³æ (СÓÐÃûÆø)
- Ó¦Öú: 0 (Ó×¶ùÔ°)
- ½ð±Ò: 247.9
- É¢½ð: 18
- ºì»¨: 1
- Ìû×Ó: 52
- ÔÚÏß: 59.3Сʱ
- ³æºÅ: 2032578
- ×¢²á: 2012-09-27
- ÐÔ±ð: GG
- רҵ: ¶ÔÁ÷²ã´óÆøÎïÀíѧ

7Â¥2012-12-31 16:47:49
¼òÕÜ2013
Òø³æ (СÓÐÃûÆø)
- Ó¦Öú: 0 (Ó×¶ùÔ°)
- ½ð±Ò: 247.9
- É¢½ð: 18
- ºì»¨: 1
- Ìû×Ó: 52
- ÔÚÏß: 59.3Сʱ
- ³æºÅ: 2032578
- ×¢²á: 2012-09-27
- ÐÔ±ð: GG
- רҵ: ¶ÔÁ÷²ã´óÆøÎïÀíѧ

8Â¥2012-12-31 16:56:29














»Ø¸´´ËÂ¥