版块导航
正在加载中...
客户端APP下载
论文辅导
申博辅导
登录
注册
帖子
帖子
用户
本版
应《网络安全法》要求,自2017年10月1日起,未进行实名认证将不得使用互联网跟帖服务。为保障您的帐号能够正常使用,请尽快对帐号进行手机号验证,感谢您的理解与支持!
24小时热门版块排行榜
>
论坛更新日志
(1416)
>
虫友互识
(175)
>
考博
(71)
>
导师招生
(55)
>
找工作
(47)
>
硕博家园
(40)
>
论文投稿
(40)
>
教师之家
(39)
>
博后之家
(38)
>
论文道贺祈福
(37)
>
基金申请
(31)
>
公派出国
(29)
>
考研
(29)
>
休闲灌水
(17)
>
招聘信息布告栏
(11)
>
文学芳草园
(5)
小木虫论坛-学术科研互动平台
»
专业学科区
»
数学
»
计算数学
»
求助大家帮我看一下origin里面这个函数编写的对么。求帮助
1
1/1
返回列表
查看: 454 | 回复: 0
只看楼主
@他人
存档
新回复提醒
(忽略)
收藏
在APP中查看
mylovejia
金虫
(小有名气)
应助: 1
(幼儿园)
金币: 335.7
散金: 302
红花: 1
帖子: 294
在线: 123.9小时
虫号: 1960075
注册: 2012-08-28
性别: GG
专业: 环境地质学和灾害地质学
[
求助
]
求助大家帮我看一下origin里面这个函数编写的对么。求帮助
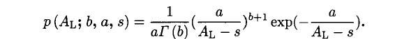
求帮助写一下这个函数的表达式。在origin里面。用自定义函数编写如何编写这个函数啊,尤其是那个F函数怎么写
这是我编写的,不知道对不对啊。y = 1.0/(a*exp(gammaln(b)))*pow((a/(x-s)),(b+1))*exp(-a/(x-s))
按照编写的进行拟合。结果如下图。看着图的曲线挺好的,不知道为什么相关系数才0.6……求怎么才能提高相关系数
未命名.jpg
回复此楼
» 猜你喜欢
基金申报
已经有5人回复
基金委咋了?2026年的指南还没有出来?
已经有7人回复
国自然申请面上模板最新2026版出了吗?
已经有17人回复
纳米粒子粒径的测量
已经有8人回复
疑惑?
已经有5人回复
计算机、0854电子信息(085401-058412)调剂
已经有5人回复
Materials Today Chemistry审稿周期
已经有5人回复
溴的反应液脱色
已经有7人回复
推荐一本书
已经有12人回复
常年博士招收(双一流,工科)
已经有4人回复
1楼
2012-12-27 09:03:06
已阅
回复此楼
关注TA
给TA发消息
送TA红花
TA的回帖
智能机器人
Robot
(super robot)
我们都爱小木虫
找到一些相关的精华帖子,希望有用哦~
求解(sinx/x)^2的函数在什么地方? 或者怎么编写? origin或matla都可以
已经有21人回复
求助origin7.0中拟合函数y=a+bx1+bx2 两个自变量的函数
已经有7人回复
求助 Origin 自定义函数输入问题
已经有4人回复
[求助]origin中非线性拟合中Guass和GuassAmp两个函数的区别?
已经有4人回复
求ORIGIN拟合包含隐函数的定积分方法
已经有6人回复
如何在origin中根据函数绘制三维图
已经有8人回复
高分求助origin C的integ1积分函数使用
已经有1人回复
【求助】谁会在origin中用布里渊函数拟合M-H曲线?
已经有7人回复
求助在origin中利用自带的函数计算多次方
已经有1人回复
求助origin自定义函数数据拟合
已经有19人回复
【求助】关于origin进行非线性拟合的自定义函数
已经有7人回复
请问origin里面怎样自定义归一化的函数?
已经有3人回复
求助:请问用origin 8.0自定义函数,怎么样才能自定义啊
已经有3人回复
求助高手关于origin 8.0 用自定义函数进行拟合
已经有14人回复
大家帮忙看看这个origin拟合的函数
已经有3人回复
点击这里搜索更多相关资源
科研从小木虫开始,人人为我,我为人人
相关版块跳转
数理科学综合
机械
物理
数学
农林
食品
地学
能源
信息科学
土木建筑
航空航天
转基因
我要订阅楼主
mylovejia
的主题更新
1
1/1
返回列表
如果回帖内容含有宣传信息,请如实选中。否则帐号将被全论坛禁言
普通表情
龙
兔
虎
猫
百度网盘
|
360云盘
|
千易网盘
|
华为网盘
在新窗口页面中打开自己喜欢的网盘网站,将文件上传后,然后将下载链接复制到帖子内容中就可以了。
信息提示
关闭
请填处理意见
关闭
确定