| 查看: 887 | 回复: 1 | |
584931986木虫 (小有名气)
|
[求助]
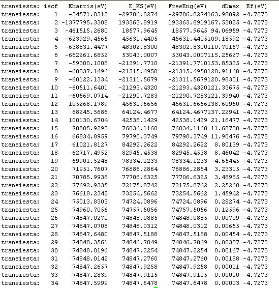
请问transiesta收敛能量为正是怎么回事?
|
![]() |
|
|
|
|
david_tong木虫 (著名写手)
|
|
|
2楼2019-02-23 20:23:29
|
|













回复此楼
50