°æ¿éµ¼º½
ÕýÔÚ¼ÓÔØÖÐ...
¿Í»§¶ËAPPÏÂÔØ
ÂÛÎĸ¨µ¼
µ÷¼ÁС³ÌÐò
怬
×¢²á
Ìû×Ó
Ìû×Ó
Óû§
±¾°æ
Ó¦¡¶ÍøÂ簲ȫ·¨¡·ÒªÇó£¬×Ô2017Äê10ÔÂ1ÈÕÆð£¬Î´½øÐÐʵÃûÈÏÖ¤½«²»µÃʹÓû¥ÁªÍø¸úÌû·þÎñ¡£Îª±£ÕÏÄúµÄÕʺÅÄܹ»Õý³£Ê¹Óã¬Ç뾡¿ì¶ÔÕʺŽøÐÐÊÖ»úºÅÑéÖ¤£¬¸ÐлÄúµÄÀí½âÓëÖ§³Ö£¡
24СʱÈÈÃŰæ¿éÅÅÐаñ
>
ÂÛ̳¸üÐÂÈÕÖ¾
(572)
>
³æÓÑ»¥Ê¶
(61)
>
¿¼²©
(25)
>
µ¼Ê¦ÕÐÉú
(14)
>
ÎÄÏ×ÇóÖú
(11)
>
ÕÒ¹¤×÷
(6)
>
²©ºóÖ®¼Ò
(5)
>
½Ìʦ֮¼Ò
(5)
>
˶²©¼ÒÔ°
(5)
>
¿¼ÑÐ
(5)
>
ÂÛÎÄͶ¸å
(5)
>
ÐÝÏйàË®
(5)
>
ÂÛÎĵÀºØÆí¸£
(4)
>
»ù½ðÉêÇë
(3)
>
¹«Åɳö¹ú
(3)
>
¾º¼¼ÌåÓý
(1)
Сľ³æÂÛ̳-ѧÊõ¿ÆÑл¥¶¯Æ½Ì¨
»
²ÄÁÏÇø
»
¾§Ìå
»
¾§ÌåÓ¦ÓÃ
»
ÓÃʲô×÷ͼÈí¼þ£¿
6
1/1
·µ»ØÁбí
²é¿´: 768 | »Ø¸´: 5
Ö»¿´Â¥Ö÷
@ËûÈË
´æµµ
лظ´ÌáÐÑ
(ºöÂÔ)
ÊÕ²Ø
ÔÚAPPÖв鿴
guojiaojiao
гæ
(ÕýʽдÊÖ)
Ó¦Öú: 0
(Ó×¶ùÔ°)
½ð±Ò: 1003.5
É¢½ð: 2
ºì»¨: 4
Ìû×Ó: 496
ÔÚÏß: 69.5Сʱ
³æºÅ: 1139731
×¢²á: 2010-11-05
ÐÔ±ð:
MM
רҵ: Åäλ»¯Ñ§
[
ÇóÖú
]
ÓÃʲô×÷ͼÈí¼þ£¿
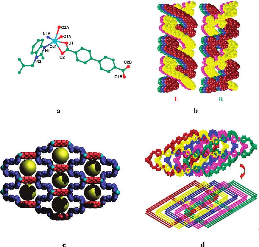
Çë½Ìһϸ÷λ´óÏÀ£¬Õâ¸öͼÊÇÓÃʲô×÷ͼÈí¼þ×öµÄ£¿ÏÈлл´ó¼ÒÁË£¡
master_img-005.jpg
»Ø¸´´ËÂ¥
» ²ÂÄãϲ»¶
ÖÐÄÏ´óѧÒ×СÒÕ¿ÎÌâ×é³ÏÕÐ2026ÉêÇë-¿¼ºËÖÆ²©Ê¿Éú
ÒѾÓÐ0È˻ظ´
º£ÄÏʦ·¶´óѧÕÐÊÕ»¯Ñ§²©Ê¿£¨¹âµç¹¦ÄܲÄÁÏ¿ÎÌâ×éÕÐÊÕ²©Ê¿Ñо¿Éú£©
ÒѾÓÐ11È˻ظ´
ÎÞ»ú»¯Ñ§ÂÛÎÄÈóÉ«/·ÒëÔõôÊÕ·Ñ?
ÒѾÓÐ193È˻ظ´
ÇóÖú¼¸¸öÍŴصÄcif
ÒѾÓÐ0È˻ظ´
¼±Çó¸Ã·´Ó¦µÄÏêϸ»úÀí
ÒѾÓÐ5È˻ظ´
¡¾Ei | Scopus Ë«¼ìË÷¡¿2026ÄêÖÇÄܽ»Í¨ÓëδÀ´³öÐйú¼Ê»áÒ飨CSTFM 2026£©
ÒѾÓÐ0È˻ظ´
¡¾EI|Scopus Ë«¼ìË÷¡¿2026ÄêµÚÁù½ì»úÆ÷ÈËÓëÈ˹¤ÖÇÄܹú¼Ê»áÒ飨JCRAI 2026£©
ÒѾÓÐ0È˻ظ´
zoteroµÄadvanced materialÄ£°åûÓиüУ¬ÓÐÈËÓÐаæµÄclsÎļþÂð
ÒѾÓÐ2È˻ظ´
¡¾¸ßУÁªºÏ¾Ù°ì¡¿2026ÄêµÚÎå½ì·þÎñ»úÆ÷È˹ú¼Ê»áÒ飨ICoSR 2026£©
ÒѾÓÐ0È˻ظ´
» ±¾Ö÷ÌâÏà¹Ø¼ÛÖµÌùÍÆ¼ö£¬¶ÔÄúͬÑùÓаïÖú:
ÎÒ½ñÄêѧµÄ³µÁ¾³µÁ¾¹¤³ÌÇëÎʸ÷λǰ±²ÃÇ£¬ÔÚ´óѧÆÚ¼äÐèÒªÑ§Ï°Ê²Ã´ÖÆÍ¼Èí¼þ£¿
ÒѾÓÐ27È˻ظ´
ÎÒÃÇѧµç»¯Ñ§µÄ¶¼ÒªÕÆÎÕʲôרҵÈí¼þ£¬ÐèÒªCAD£¬Ê²Ã´µÄô Çë´óÉñ´Í
ÒѾÓÐ6È˻ظ´
Çë½ÌÒ»ÏÂÓÃʲôÈí¼þÖÆÍ¼±í¿ÉÒÔÖªµÀͼÏßÉÏÈÎÒâÒ»µãµÄ×ø±êÖµ
ÒѾÓÐ5È˻ظ´
¡ï¡ï¡ï¡ï¡ï¡ï¡ï¡ï¡ïÓÃʲô»æÍ¼Èí¼þ±È½ÏºÃ£¿
ÒѾÓÐ10È˻ظ´
Óиö¸ÅÂʹ«Ê½£¬Óлý·Ö¡£ÓÃɶÈí¼þ¿ÉÒÔʵÏÖÄØ£¿
ÒѾÓÐ7È˻ظ´
ÇëÎÊʾÒâͼ×÷ͼÈí¼þÄØ
ÒѾÓÐ6È˻ظ´
µØÖÊѧ³£ÓÃÈí¼þ½éÉÜ
ÒѾÓÐ26È˻ظ´
»ù½ðÉêÇ룺´ó¼Ò¶¼ÓÃʲô×÷ͼÈí¼þ£¬×÷¶àÉÙ¸öͼ½ÏºÃ£¿
ÒѾÓÐ10È˻ظ´
½ðÊôÄý¹ÌÄ£Ä⣬Çó»æÍ¼Èí¼þºÍÄ£ÄâÈí¼þ
ÒѾÓÐ23È˻ظ´
ÇëÎÊ´óϺ£¬ÓÃʲôÈí¼þ¿ÉÒÔ¶Ô×÷ͼµÄÊý¾Ý½øÐÐÈ¥Ç÷ÊÆ£¿
ÒѾÓÐ4È˻ظ´
ÇëÎÊ´ó¼Ò·¢±íÉ«Æ×ÀàÎÄÕµÄʱºòÓõÄʲô×÷ͼÈí¼þѽ
ÒѾÓÐ6È˻ظ´
[½»Á÷]ÇëÎÊ´ó¼ÒÔÚдSCIÂÛÎĵÄʱºòÓÃʲô×÷ͼ¹¤¾ß»µÄ3D ½á¹¹Ê¾Òâͼ£¿
ÒѾÓÐ12È˻ظ´
¡¾ÇóÖú/½»Á÷¡¿³ýÁËexcelÍ⣬ÓÃʲôÈí¼þ»Í¼¸üרҵ
ÒѾÓÐ29È˻ظ´
¡¾ÇóÖú/½»Á÷¡¿¹ØÓÚÉú³¤ÇúÏß×÷ͼµÄ£¬½øÀ´°ï¸öæ¹þ£¬Ð»À²
ÒѾÓÐ13È˻ظ´
´ó¼Ò¶¼ÓÃʲô»Í¼Èí¼þ
ÒѾÓÐ53È˻ظ´
¡¾ÇóÖú¡¿¼±Çó¸ßÊÖ°ïæ£¡Ö»ÓÐcifÈçºÎ¾§Ìå»Í¼£¨¾ø¶ÔûÔì¼Ù£¡£©
ÒѾÓÐ10È˻ظ´
¡¾ÌÖÂÛ¡¿´ó¼ÒдÂÛÎÄ£¬×ö±¨¸æ¶¼ÓÃʲô»Í¼Èí¼þ°¡£¿
ÒѾÓÐ18È˻ظ´
Ó¢ÎÄSCIÂÛÎÄÖеÄ×ø±êͼһ°ãÊÇÓÃʲôÈí¼þ×÷³öÀ´µÄ£¿
ÒѾÓÐ34È˻ظ´
°ÙºÏ
1Â¥
2012-12-08 23:11:07
ÒÑÔÄ
»Ø¸´´ËÂ¥
¹Ø×¢TA
¸øTA·¢ÏûÏ¢
ËÍTAºì»¨
TAµÄ»ØÌû
guojiaojiao
гæ
(ÕýʽдÊÖ)
Ó¦Öú: 0
(Ó×¶ùÔ°)
½ð±Ò: 1003.5
É¢½ð: 2
ºì»¨: 4
Ìû×Ó: 496
ÔÚÏß: 69.5Сʱ
³æºÅ: 1139731
×¢²á: 2010-11-05
ÐÔ±ð:
MM
רҵ: Åäλ»¯Ñ§
1.bͼµÄÄǸöÂÝÐýÁ´ÊÇʲôÈí¼þ£¿¸÷ÌõÁ´µÄ²»Í¬ÑÕÉ«ÔõôÉèÖÃÄØ£¿
2.cͼµÄÄǸö²åÈëÇòÇòÊÇʲôÈí¼þ£¿
лл´ó¼ÒÁË¡£¡£¡£
ÔÞ
Ò»ÏÂ
»Ø¸´´ËÂ¥
°ÙºÏ
2Â¥
2012-12-08 23:14:34
ÒÑÔÄ
»Ø¸´´ËÂ¥
¹Ø×¢TA
¸øTA·¢ÏûÏ¢
ËÍTAºì»¨
TAµÄ»ØÌû
w6y8d0
ÖÁ×ðľ³æ
(ÖøÃûдÊÖ)
Ó¦Öú: 68
(³õÖÐÉú)
½ð±Ò: 22921.3
ºì»¨: 3
ɳ·¢: 2
Ìû×Ó: 2773
ÔÚÏß: 496.9Сʱ
³æºÅ: 178636
×¢²á: 2006-02-07
ÐÔ±ð: GG
רҵ: ÎÞ»ú²ÄÁÏ»¯Ñ§
¡¾´ð°¸¡¿Ó¦Öú»ØÌû
¡ï ¡ï ¡ï ¡ï ¡ï
¸Ðл²ÎÓ룬ӦÖúÖ¸Êý +1
guojiaojiao: ½ð±Ò+5,
¡ï¡ï¡ï
ºÜÓаïÖú, ä½ å?šè¿‡è¿™æ ·çš„图å?—?确定diamondå?¯ä»¥å?šï¼Ÿæˆ‘试了ä¸?能啊。能具体点æ??示我一下å?—?谢谢啊
2012-12-09 11:17:16
DiamondÓ¦¸Ã¿ÉÒÔ×÷ÕâÑùµÄͼ¡£
[ ·¢×ÔÊÖ»ú°æ http://muchong.com/3g ]
ÔÞ
Ò»ÏÂ
»Ø¸´´ËÂ¥
3Â¥
2012-12-09 05:48:07
ÒÑÔÄ
»Ø¸´´ËÂ¥
¹Ø×¢TA
¸øTA·¢ÏûÏ¢
ËÍTAºì»¨
TAµÄ»ØÌû
guojiaojiao
гæ
(ÕýʽдÊÖ)
Ó¦Öú: 0
(Ó×¶ùÔ°)
½ð±Ò: 1003.5
É¢½ð: 2
ºì»¨: 4
Ìû×Ó: 496
ÔÚÏß: 69.5Сʱ
³æºÅ: 1139731
×¢²á: 2010-11-05
ÐÔ±ð:
MM
רҵ: Åäλ»¯Ñ§
ÒýÓûØÌû:
3Â¥
:
Originally posted by
w6y8d0
at 2012-12-09 05:48:07
DiamondÓ¦¸Ã¿ÉÒÔ×÷ÕâÑùµÄͼ¡£
ΪʲôÊÇÂÒÂ룬ÓôÃÆ¡£ÄÜÉÔ΢¾ßÌåµãÂð£¿ÎÒÔÚdiamondÉÏ»²»³ö°¡¡£Ð»Ð»°¡
ÔÞ
Ò»ÏÂ
»Ø¸´´ËÂ¥
°ÙºÏ
4Â¥
2012-12-09 11:18:53
ÒÑÔÄ
»Ø¸´´ËÂ¥
¹Ø×¢TA
¸øTA·¢ÏûÏ¢
ËÍTAºì»¨
TAµÄ»ØÌû
luxtal
ÖÁ×ðľ³æ
(Ö°Òµ×÷¼Ò)
Ó¦Öú: 691
(²©Ê¿)
½ð±Ò: 13882.5
ºì»¨: 50
Ìû×Ó: 3005
ÔÚÏß: 701.3Сʱ
³æºÅ: 2014485
×¢²á: 2012-09-19
רҵ: ½á¹¹»¯Ñ§
¡¾´ð°¸¡¿Ó¦Öú»ØÌû
¸Ðл²ÎÓ룬ӦÖúÖ¸Êý +1
ÏÔÈ»ÊÇMaterial studioµÄ·ç¸ñ¡£
ÔÞ
Ò»ÏÂ
»Ø¸´´ËÂ¥
What_we_observe_is_not_nature_itself,_but_nature_exposed_to_our_method_of_questioning----Werner_Karl_Heisenberg
5Â¥
2012-12-09 12:02:19
ÒÑÔÄ
»Ø¸´´ËÂ¥
¹Ø×¢TA
¸øTA·¢ÏûÏ¢
ËÍTAºì»¨
TAµÄ»ØÌû
Jack´¬³¤
Òø³æ
(ÕýʽдÊÖ)
Ó¦Öú: 11
(СѧÉú)
½ð±Ò: 284.9
ºì»¨: 1
Ìû×Ó: 368
ÔÚÏß: 42.1Сʱ
³æºÅ: 1463840
×¢²á: 2011-10-27
ÐÔ±ð: GG
רҵ: Åäλ»¯Ñ§
¡¾´ð°¸¡¿Ó¦Öú»ØÌû
¡ï ¡ï ¡ï ¡ï ¡ï
¸Ðл²ÎÓ룬ӦÖúÖ¸Êý +1
guojiaojiao: ½ð±Ò+5,
¡ï¡ï¡ï¡ï¡ï
×î¼Ñ´ð°¸, ²Ù×÷·½·¨ÄÜ´ó¸Å˵һÏÂÂð£¿Ð»Ð»ÁË
2012-12-11 10:01:16
DiamondºÍOlex¶¼¿ÉÒÔ£¬ÆäʵÁ½ÕßÖеÄÈκÎÒ»¸ö¶¼¿ÉÒÔ×öµ½Õâ¸öЧ¹û
ÔÞ
Ò»ÏÂ
»Ø¸´´ËÂ¥
...
6Â¥
2012-12-10 09:39:32
ÒÑÔÄ
»Ø¸´´ËÂ¥
¹Ø×¢TA
¸øTA·¢ÏûÏ¢
ËÍTAºì»¨
TAµÄ»ØÌû
Ïà¹Ø°æ¿éÌø×ª
²ÄÁÏ×ÛºÏ
²ÄÁϹ¤³Ì
΢Ã׺ÍÄÉÃ×
¾§Ìå
½ðÊô
ÎÞ»ú·Ç½ðÊô
ÉúÎï²ÄÁÏ
¹¦ÄܲÄÁÏ
¸´ºÏ²ÄÁÏ
ÎÒÒª¶©ÔÄÂ¥Ö÷
guojiaojiao
µÄÖ÷Ìâ¸üÐÂ
6
1/1
·µ»ØÁбí
Èç¹û»ØÌûÄÚÈݺ¬ÓÐÐû´«ÐÅÏ¢£¬ÇëÈçʵѡÖС£·ñÔòÕʺŽ«±»È«ÂÛ̳½ûÑÔ
ÆÕͨ±íÇé
Áú
ÍÃ
Ȣ
è
°Ù¶ÈÍøÅÌ
|
360ÔÆÅÌ
|
ǧÒ×ÍøÅÌ
|
»ªÎªÍøÅÌ
ÔÚд°¿ÚÒ³ÃæÖдò¿ª×Ô¼ºÏ²»¶µÄÍøÅÌÍøÕ¾£¬½«ÎļþÉÏ´«ºó£¬È»ºó½«ÏÂÔØÁ´½Ó¸´ÖƵ½Ìû×ÓÄÚÈÝÖоͿÉÒÔÁË¡£
ÐÅÏ¢Ìáʾ
¹Ø±Õ
ÇëÌî´¦ÀíÒâ¼û
¹Ø±Õ
È·¶¨