| ²é¿´: 6916 | »Ø¸´: 9 | ||||
lyy7120118гæ (³õÈëÎÄ̳)
|
[ÇóÖú]
ÔõÑùÅжϵ¼´øºÍ¼Û´øÎ»ÖÃ?
|
|||
|
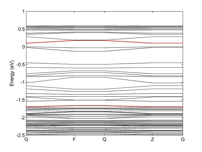
ÎÒ×öÁ˸öʯīϩºÍ°ëµ¼Ì帴ºÏÎïµÄ¼ÆË㣬·ÖÎöÁËһϵõ½µÄband strcture£¬·¢ÏÖÀïÃæµÄÄܼ¶ºÜÔÓÂÒ£¬Ó¦¸ÃÔõôÅжÏËüµÄµ¼´øºÍ¼Û´øÎ»ÖÃ? BS.JPG |
» ÊÕ¼±¾ÌûµÄÌÔÌûר¼ÍƼö
̼²ÄÁϼ°¶þά²ÄÁÏ | ÄÜ´ø |
» ²ÂÄãϲ»¶
081700£¬311£¬Çóµ÷¼Á
ÒѾÓÐ15È˻ظ´
Ò»Ö¾Ô¸±±¾©»¯¹¤085600 310·ÖÇóµ÷¼Á
ÒѾÓÐ18È˻ظ´
085600²ÄÁÏÓ뻯¹¤301·ÖÇóµ÷¼ÁԺУ
ÒѾÓÐ4È˻ظ´
²ÄÁÏÓ뻯¹¤371Çóµ÷¼Á
ÒѾÓÐ14È˻ظ´
336²ÄÁÏÓ뻯¹¤085600Çóµ÷¼Á
ÒѾÓÐ7È˻ظ´
²ÄÁÏ334Çóµ÷¼Á
ÒѾÓÐ18È˻ظ´
331Çóµ÷¼Á
ÒѾÓÐ8È˻ظ´
332Çóµ÷¼Á
ÒѾÓÐ17È˻ظ´
Ò»Ö¾Ô¸ÄϾ©º½¿Õº½Ìì´óѧ ²ÄÁÏÓ뻯¹¤329·ÖÇóµ÷¼Á
ÒѾÓÐ4È˻ظ´
²ÄÁÏר˶322
ÒѾÓÐ7È˻ظ´
» ±¾Ö÷ÌâÏà¹ØÉ̼ÒÍÆ¼ö: (ÎÒÒ²ÒªÔÚÕâÀïÍÆ¹ã)
» ±¾Ö÷ÌâÏà¹Ø¼ÛÖµÌùÍÆ¼ö£¬¶ÔÄúͬÑùÓаïÖú:
dmolÏà¹ØÎÊÌâ½»Á÷ѧϰ
ÒѾÓÐ14È˻ظ´
ÄÜ´øÍ¼£¬Ò»ÌõÄÜ´øÇúÏßͬʱ´©Ô½Á˼۴øºÍµ¼´ø£¬Õ¦»ØÊÂŶ£¿
ÒѾÓÐ9È˻ظ´
·ÑÃ×Äܼ¶ÔÚ°ëµ¼ÌåÎïÀíÖеĸÅÄîºÍÒâÒå
ÒѾÓÐ26È˻ظ´
ÈçºÎ²é¿´¼Û´øºÍµ¼´øÖ®¼äµÄ´øÏ¶Öµ£¿
ÒѾÓÐ14È˻ظ´
NiS´øÏ¶¿í¶È£¬·Ö±ð¸ø³öµ¼´øºÍ¼Û´øÎ»ÖÃ
ÒѾÓÐ3È˻ظ´
°ëµ¼Ìå ¼Û´ø¶¥ºÍµ¼´øµ×µÄ¾ßÌåÊýÖµÔõôȷ¶¨»ò²éµ½ÕâЩÊýÖµ
ÒѾÓÐ17È˻ظ´
ÔõÑù´ÓÄÜ´ø½á¹¹Í¼Öеóö¼Û´ø¶¥ºÍµ¼´øµ×£¿
ÒѾÓÐ5È˻ظ´
Ï×È«²¿½ð±ÒÇóÖúÈçºÎ²âÁ¿°ëµ¼Ìåµ¼´ø»ò¼Û´øµÄµçλֵ
ÒѾÓÐ13È˻ظ´
ÇóÖú¶þÑõ»¯îÑTiO2ÈñîÑ¿óÏàºÍ°åîÑ¿óÏàµÄµ¼´øºÍ¼Û´øµÄλÖÃÊý¾Ý¡£
ÒѾÓÐ5È˻ظ´
¼Û´øµç×ÓÈçºÎÊܵ½µç³¡×÷Óü¤·¢µ½µ¼´ø£¿
ÒѾÓÐ11È˻ظ´
¡¾ÇóÖú¡¿ÀíÂÛ¼ÆËãÐÂÊÖ£¬Çó°ïæ½â¾ö´øÏ¶¼°DOSµÄÎÊÌâ
ÒѾÓÐ21È˻ظ´
¡¾ÇóÖú¡¿·ÑÃ×Äܼ¶²»ÔÚµ¼´øºÍ¼Û´øÖмä
ÒѾÓÐ13È˻ظ´
ÈçºÎÈ·¶¨½ðÊôÑõ»¯ÎïµÄ¼Û´øºÍµ¼´øÄܼ¶µÄλÖÃ
ÒѾÓÐ1È˻ظ´
¡¾ÇóÖú¡¿MS¼ÆËã·ÑÃ×Äܼ¶Î»ÖõÄÒÉÎÊ
ÒѾÓÐ18È˻ظ´
¡¾ÇóÖú¡¿Ì¬ÃܶÈ
ÒѾÓÐ14È˻ظ´
¡¾ÇóÖú¡¿ÔõÑùÖ¤Ã÷Ò»¸ö²ÄÁÏÊǰ뵼ÌåÄØ
ÒѾÓÐ27È˻ظ´
¡¾ÌÖÂÛ¡¿ÎïÖʵļ۴øºÍµ¼´øÍÆË㣿
ÒѾÓÐ13È˻ظ´
¡¾ÇóÖú¡¿¼ÆËã³öÀ´µÄµ¼´øÎ»Öúͼ۴øÎ»ÖúÍʵÑéÓвî±ðÂð£¿ÔõôÐÞÕý£¿Ð»Ð»ÁË£¡
ÒѾÓÐ9È˻ظ´
¡¾ÇóÖú¡¿¹ØÓÚ¾§ÌåÄܼ¶ÓëË®·Ö×ÓÑõ»¯»¹Ôµç¼«µçÊÆµÄÏà¶ÔλÖÃ
ÒѾÓÐ20È˻ظ´
lyy7120118
гæ (³õÈëÎÄ̳)
- Ó¦Öú: 0 (Ó×¶ùÔ°)
- ½ð±Ò: 67.1
- É¢½ð: 29
- Ìû×Ó: 22
- ÔÚÏß: 16.8Сʱ
- ³æºÅ: 1169432
- ×¢²á: 2010-12-14
- רҵ: ÀíÂۺͼÆË㻯ѧ
4Â¥2012-11-28 17:08:44
ÔÂϱù»ê
ľ³æ (ÕýʽдÊÖ)
- Ó¦Öú: 49 (СѧÉú)
- ½ð±Ò: 3111.7
- É¢½ð: 113
- ºì»¨: 19
- Ìû×Ó: 444
- ÔÚÏß: 158.4Сʱ
- ³æºÅ: 1191993
- ×¢²á: 2011-01-18
- ÐÔ±ð: GG
- רҵ: °ëµ¼Ìå¾§ÌåÓ뱡Ĥ²ÄÁÏ
¡¾´ð°¸¡¿Ó¦Öú»ØÌû
¡ï ¡ï ¡ï ¡ï
¸Ðл²ÎÓ룬ӦÖúÖ¸Êý +1
lyy7120118: ½ð±Ò+2, ¡ï¡ï¡ïºÜÓаïÖú 2012-11-29 15:17:42
liliangfang: ½ð±Ò+2, лл½»Á÷ 2012-12-01 20:13:54
¸Ðл²ÎÓ룬ӦÖúÖ¸Êý +1
lyy7120118: ½ð±Ò+2, ¡ï¡ï¡ïºÜÓаïÖú 2012-11-29 15:17:42
liliangfang: ½ð±Ò+2, лл½»Á÷ 2012-12-01 20:13:54
|
ÄãµÃ°Ñͼ·Å´óÍÛ£¬È»ºóÔÚ×Ý×ø±êΪ0¸½½üÕÒ£¡Ò»°ãÀ´Ëµ£¬0ÒÔÉÏΪµ¼´ø£¬Ò»ÏÂΪ¼Û´ø [ ·¢×ÔÊÖ»ú°æ http://muchong.com/3g ] |

2Â¥2012-11-28 14:51:07
ºúÄÖÄÖ
гæ (³õÈëÎÄ̳)
- Ó¦Öú: 1 (Ó×¶ùÔ°)
- ½ð±Ò: 33.1
- Ìû×Ó: 1
- ÔÚÏß: 11·ÖÖÓ
- ³æºÅ: 1780358
- ×¢²á: 2012-04-26
- רҵ: ÔªËØ»¯Ñ§
¡¾´ð°¸¡¿Ó¦Öú»ØÌû
¡ï ¡ï
¸Ðл²ÎÓ룬ӦÖúÖ¸Êý +1
lyy7120118: ½ð±Ò+2, ¡ï¡ï¡ïºÜÓаïÖú 2012-11-29 15:17:36
¸Ðл²ÎÓ룬ӦÖúÖ¸Êý +1
lyy7120118: ½ð±Ò+2, ¡ï¡ï¡ïºÜÓаïÖú 2012-11-29 15:17:36
| 2¥˵µÄÓÐÀí£¡0ÒÔÉÏΪµ¼´ø£¬Ò»ÏÂΪ¼Û´ø |
3Â¥2012-11-28 16:20:31
lyy7120118
гæ (³õÈëÎÄ̳)
- Ó¦Öú: 0 (Ó×¶ùÔ°)
- ½ð±Ò: 67.1
- É¢½ð: 29
- Ìû×Ó: 22
- ÔÚÏß: 16.8Сʱ
- ³æºÅ: 1169432
- ×¢²á: 2010-12-14
- רҵ: ÀíÂۺͼÆË㻯ѧ
5Â¥2012-11-28 17:08:56
ApolloYang
ľ³æ (ÕýʽдÊÖ)
- Ó¦Öú: 15 (СѧÉú)
- ½ð±Ò: 2209.6
- É¢½ð: 114
- ºì»¨: 4
- Ìû×Ó: 390
- ÔÚÏß: 236.9Сʱ
- ³æºÅ: 582657
- ×¢²á: 2008-07-25
- ÐÔ±ð: GG
- רҵ: Äý¾Û̬ÎïÐÔ II £ºµç×ӽṹ
¡¾´ð°¸¡¿Ó¦Öú»ØÌû
¡ï ¡ï
¸Ðл²ÎÓ룬ӦÖúÖ¸Êý +1
lyy7120118: ½ð±Ò+2, ¡ï¡ï¡ïºÜÓаïÖú 2012-11-29 15:17:25
¸Ðл²ÎÓ룬ӦÖúÖ¸Êý +1
lyy7120118: ½ð±Ò+2, ¡ï¡ï¡ïºÜÓаïÖú 2012-11-29 15:17:25
|
×ö²ôÔÓÔªËØµÄPdosͼ ¶Ô±ÈÄÜ´ø ¾Í¿ÉÒÔ¿´³ö |
6Â¥2012-11-28 22:10:56
¡¾´ð°¸¡¿Ó¦Öú»ØÌû
¡ï ¡ï ¡ï ¡ï ¡ï ¡ï
¸Ðл²ÎÓ룬ӦÖúÖ¸Êý +1
lyy7120118: ½ð±Ò+2, ¡ï¡ï¡ïºÜÓаïÖú 2012-11-29 15:17:07
fzx2008: ½ð±Ò+2, лл½»Á÷£¡ 2012-11-29 16:42:59
liliangfang: ½ð±Ò+2, лл½»Á÷ 2012-12-01 20:14:06
¸Ðл²ÎÓ룬ӦÖúÖ¸Êý +1
lyy7120118: ½ð±Ò+2, ¡ï¡ï¡ïºÜÓаïÖú 2012-11-29 15:17:07
fzx2008: ½ð±Ò+2, лл½»Á÷£¡ 2012-11-29 16:42:59
liliangfang: ½ð±Ò+2, лл½»Á÷ 2012-12-01 20:14:06
|
Ê×ÏÈÈ·¶¨·ÑÃ×Äܼ¶Òѿ۳ý£¨0¼¶·ÑÃ×Äܼ¶£©£¬Èç¹ûÒѿ۳ý£¬ÉÏÃæµÄ¼´µ¼´ø£¬ÏÂÃæÎª¼Û´ø¡£ ÅжÏÔÓÖÊÄܼ¶·½·¨Óкܶ࣬¼ÆËã·Öµ½Ã¿¸öÔ×ÓµÄpartial dos£¬»òÕß°ÑÄÜ´øÖпÉÄÜÊÇÔÓÖÊÄܼ¶¶ÔÓ¦µÄ±¾Õ÷µçºÉÃܶȻ³ö£¬¾ÍºÜÇå³þÕâЩÄܼ¶ÓÐÄÄЩÔ×Ó²úÉú¡£ |
7Â¥2012-11-29 08:31:03
lyy7120118
гæ (³õÈëÎÄ̳)
- Ó¦Öú: 0 (Ó×¶ùÔ°)
- ½ð±Ò: 67.1
- É¢½ð: 29
- Ìû×Ó: 22
- ÔÚÏß: 16.8Сʱ
- ³æºÅ: 1169432
- ×¢²á: 2010-12-14
- רҵ: ÀíÂۺͼÆË㻯ѧ
8Â¥2012-11-29 15:16:42
lyy7120118
гæ (³õÈëÎÄ̳)
- Ó¦Öú: 0 (Ó×¶ùÔ°)
- ½ð±Ò: 67.1
- É¢½ð: 29
- Ìû×Ó: 22
- ÔÚÏß: 16.8Сʱ
- ³æºÅ: 1169432
- ×¢²á: 2010-12-14
- רҵ: ÀíÂۺͼÆË㻯ѧ
9Â¥2012-11-29 15:18:03
wushiqiaowpp
½ð³æ (³õÈëÎÄ̳)
- Ó¦Öú: 0 (Ó×¶ùÔ°)
- ½ð±Ò: 1311.1
- Ìû×Ó: 25
- ÔÚÏß: 141.6Сʱ
- ³æºÅ: 2726980
- ×¢²á: 2013-10-15
- ÐÔ±ð: GG
- רҵ: Éùѧ

10Â¥2013-10-17 16:20:21














»Ø¸´´ËÂ¥

