版块导航
正在加载中...
客户端APP下载
论文辅导
申博辅导
登录
注册
帖子
帖子
用户
本版
应《网络安全法》要求,自2017年10月1日起,未进行实名认证将不得使用互联网跟帖服务。为保障您的帐号能够正常使用,请尽快对帐号进行手机号验证,感谢您的理解与支持!
24小时热门版块排行榜
>
论坛更新日志
(3596)
>
文献求助
(330)
>
导师招生
(250)
>
虫友互识
(222)
>
考博
(143)
>
论文投稿
(115)
>
博后之家
(109)
>
硕博家园
(107)
>
休闲灌水
(86)
>
招聘信息布告栏
(75)
>
教师之家
(61)
>
基金申请
(54)
>
考研
(42)
>
绿色求助(高悬赏)
(39)
>
公派出国
(39)
>
材料综合
(24)
小木虫论坛-学术科研互动平台
»
材料区
»
晶体
»
设计培养
»
注意一下
1
1/1
返回列表
查看: 180 | 回复: 0
只看楼主
@他人
存档
新回复提醒
(忽略)
收藏
在APP中查看
肖祖平
金虫
(小有名气)
应助: 2
(幼儿园)
金币: 7281.8
散金: 29
红花: 1
帖子: 284
在线: 459.4小时
虫号: 2017316
注册: 2012-09-20
专业: 结构化学
[
求助
]
注意一下
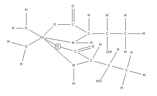
Co离子邻位的两个水分子如何被4,4‘-联吡啶对苯二甲酸上的N原子取代,条件是什么?
BH8LV4[`LQRBY$T$12%]RDW.jpg
%)}QDTPKUI3PP97}65S{RVE.jpg
回复此楼
» 猜你喜欢
请问各位大佬ACS投稿状态这样是成功了吗?
已经有6人回复
中南大学易小艺课题组诚招2026申请-考核制博士生
已经有0人回复
无机化学论文润色/翻译怎么收费?
已经有125人回复
» 本主题相关商家推荐:
(我也要在这里推广)
高级回复
1楼
2012-11-27 10:25:14
已阅
回复此楼
关注TA
给TA发消息
送TA红花
TA的回帖
相关版块跳转
材料综合
材料工程
微米和纳米
晶体
金属
无机非金属
生物材料
功能材料
复合材料
我要订阅楼主
肖祖平
的主题更新
1
1/1
返回列表
如果回帖内容含有宣传信息,请如实选中。否则帐号将被全论坛禁言
普通表情
龙
兔
虎
猫
百度网盘
|
360云盘
|
千易网盘
|
华为网盘
在新窗口页面中打开自己喜欢的网盘网站,将文件上传后,然后将下载链接复制到帖子内容中就可以了。
信息提示
关闭
请填处理意见
关闭
确定