24小时热门版块排行榜    

查看: 283  |  回复: 0

larychen

金虫 (正式写手)

[求助] 水晶

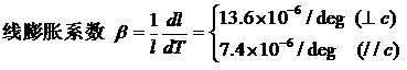
  遇到这样的问题:1600k,估算石英晶胞的体积是多少
看能不能给点建议 怎么考虑的

图片1.jpg
回复此楼
已阅   回复此楼   关注TA 给TA发消息 送TA红花 TA的回帖
相关版块跳转 我要订阅楼主 larychen 的主题更新
最具人气热帖推荐 [查看全部] 作者 回/看 最后发表
[考研] 总分293求调剂 +4 加一一九 2026-03-25 6/300 2026-03-25 22:34 by barlinike
[考研] 308求调剂 +5 墨墨漠 2026-03-25 5/250 2026-03-25 22:19 by 544594351
[考研] 08工学调剂 +13 用户573181 2026-03-20 18/900 2026-03-25 22:00 by zbssa
[考研] 0854AI CV方向招收调剂 +4 章小鱼567 2026-03-23 4/200 2026-03-25 17:04 by CoderLoser
[考研] 302求调剂 +4 锦衣卫藤椒 2026-03-25 4/200 2026-03-25 16:29 by 功夫疯狂
[考研] 0854人工智能方向招收调剂 +4 章小鱼567 2026-03-24 4/200 2026-03-25 13:29 by 2177681040
[考研] 一志愿吉林大学材料与化工303分求调剂 +4 为学666 2026-03-24 4/200 2026-03-25 11:27 by BruceLiu320
[考研] 求调剂323材料与化工 +4 1124361 2026-03-24 4/200 2026-03-25 11:19 by shulmg
[考研] 求调剂,一志愿:南京航空航天大学大学 ,080500材料科学与工程学硕,总分289分 +6 @taotao 2026-03-19 6/300 2026-03-25 08:37 by 木托莫露露
[考研] 上海电力大学材料防护与新材料重点实验室招收调剂研究生(材料、化学、电化学,环境) +4 我爱学电池 2026-03-23 4/200 2026-03-25 00:59 by 1027_324
[考研] 291求调剂 +3 HanBeiNingZC 2026-03-24 3/150 2026-03-24 16:34 by barlinike
[考研] 求调剂一志愿武汉理工大学材料工程(085601) +5 WW.' 2026-03-23 7/350 2026-03-24 14:50 by sprinining
[考研] 一志愿华东理工大学081700,初试分数271 +5 kotoko_ik 2026-03-23 6/300 2026-03-24 10:29 by 学术搬砖er
[考研] 环境学硕288求调剂 +8 皮皮皮123456 2026-03-22 8/400 2026-03-23 23:47 by 热情沙漠
[考研] 一志愿重庆大学085700资源与环境,总分308求调剂 +7 墨墨漠 2026-03-23 8/400 2026-03-23 20:36 by Creta
[考研] 一志愿武理材料工程348求调剂 +6  ̄^ ̄゜汗 2026-03-19 9/450 2026-03-23 19:53 by pswait
[考研] 311求调剂 +3 26研0 2026-03-20 3/150 2026-03-22 14:46 by ColorlessPI
[考研] 材料学硕301分求调剂 +7 Liyouyumairs 2026-03-21 7/350 2026-03-21 22:31 by peike
[考研] 332求调剂 +3 凤凰院丁真 2026-03-20 3/150 2026-03-21 10:27 by luoyongfeng
[考研] 086500 325 求调剂 +3 领带小熊 2026-03-19 3/150 2026-03-20 18:38 by 尽舜尧1
信息提示
请填处理意见