| 查看: 386 | 回复: 0 | ||
[求助]
量子化学 环状 键能 过渡态
|
|
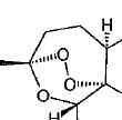
现在在做量子化学计算,但是是一种环状过氧化物,而且过氧键与七元环不在一个平面上,怎么计算过氧键断裂的键能?我用的方法是将过氧键断开,拉长,但是过氧键活性太高,一旦断开,马上与其它原子成键。 我现在已经做完优化、频率计算、键级计算等,下面是过渡态计算,但是不知道怎么找? 算出来的Mulliken键级和Wiberg键级不是太对应,哪个更准确些?这两种键级是不是可以用于不同种类键的比较? 22.png |
» 猜你喜欢
吉林大学材料物理本科生求问调剂信息
已经有24人回复
2026第二届光电子与半导体器件前沿技术研讨会——光电子赋能·半导体创芯!
已经有1人回复
物理化学论文润色/翻译怎么收费?
已经有270人回复
光电子赋能·半导体创芯!
已经有1人回复
光电子赋能·半导体创芯!
已经有0人回复
QE计算电声耦合的时候报错Error in routine lambda (100)wrong or too many modes
已经有2人回复
九江学院2026年最新高层次人才招聘公告
已经有0人回复
深圳信息职业技术学院2026年教师招聘公告(最新)
已经有0人回复
cif求助下载
已经有1人回复
高效微纳米储能材料与产业化推进实验室 苏州 招收硕士研究生(含调剂)
已经有2人回复
高效微纳米储能材料与产业化推进实验室 苏州 招收硕士研究生(含调剂)
已经有0人回复














回复此楼